
Полная версия:
Gold Trader. Связь между чётными степенями интеграла Гаусса, гамма-функцией и уровнями Фибоначчи

Gold Trader
Связь между чётными степенями интеграла Гаусса, гамма-функцией и уровнями Фибоначчи
Виталий Фартушнов
© Виталий Фартушнов, 2025
ISBN 978-5-0067-7748-4
Создано в интеллектуальной издательской системе Ridero
Четные степени Интеграла Гаусса связь с гамма-функцией
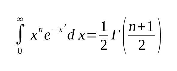
Связь чётных степеней интеграла Гаусса с гамма-функцией выражается следующим образом:
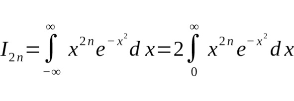
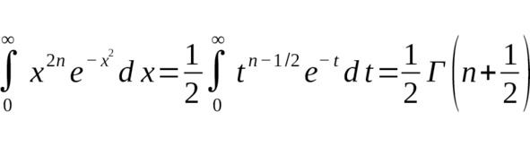
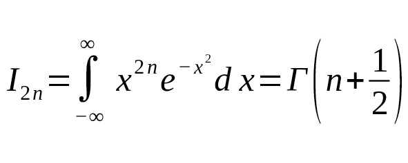
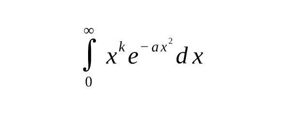
Рассмотрим интеграл вида

где – чётная степень.

Этот интеграл выражается через гамма-функцию так:

или, используя свойства гамма-функции:

Замена переменной $ t = x^2 $ приводит к гамма-функции:

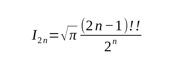
Таким образом,

– Чётные моменты гауссового интеграла выражаются через гамма-функцию от полуцелого аргумента.
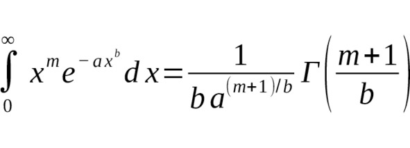
– Для общего случая: где для стандартного Гаусса $ m=2n,,a=1,,b=2 $ [1] [2].

Это показывает прямую связь между чётными степенями интеграла Гаусса и значениями гамма-функции, и объясняет, почему значения при полуцелых аргументах выражаются через $ \sqrt {\pi} $ [1] [2].
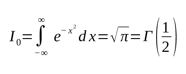
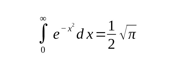
– Например, для $ n=0 $ (то есть стандартный интеграл Гаусса):

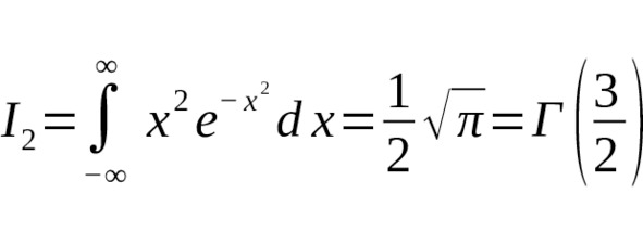
– Для $ n=1 $:

То есть значения чётных моментных интегралов Гаусса прямо выражаются через гамма-функцию для полуцелых аргументов [1] [2].
Примеры использования:

⁂
Перечисли литературу на данную тему
Основные источники по теме интегралов Гаусса с четными степенями и связанных с этим тем квадартур, вычисления и применения:
– Фихтенгольц Г. М. «Курс дифференциального и интегрального исчисления», т.2. Классический учебник, подробно рассматривает гауссовы интегралы, их свойства и вычисления [3].
– Крайнов В. А. «Численные методы вычисления определенного интеграла». В пособии разбираются методы точного и приближенного вычисления интегралов, в том числе гауссовых, обсуждается точность для многочленов четной степени и приводятся формулы [4].
– Fedotov A.A. «Численные методы интегрирования». Современное пособие с практическими примерами численного вычисления гауссовых интегралов и их приложениями [5].
– Пастухов Д. Ф. «Квадратуры Гаусса. Интегральные уравнения». Методические указания по построению и применению квадратурных формул Гаусса для вычисления интегралов от многочленов даже высокой степени [6].
– Добрынина С. В. «Квадратурные и кубатурные формулы». Пособие содержит практические задания и разбор правил приближенного интегрирования, в том числе формулы Гаусса для интегралов с весами и многочленами [7].
– Арушанян И. О. «Алгоритмы приближенного вычисления интегралов». Обсуждаются методы вычисления интегралов с различными степенями точности, включая использование четных степеней в гауссовых интегралах [8].
Эти книги и пособия подходят для углубленного изучения вычисления и теории гауссовых интегралов, их свойств и приложений.
⁂
Теоретические основы квадратурных формул
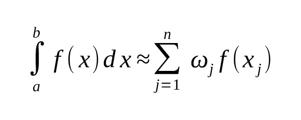
Квадратурные формулы – это классический математический инструмент для приближённого вычисления определённых интегралов по значениям функции в конечном числе точек. Их основная задача – заменить вычисление интеграла суммой, где коэффициенты и точки выбора (узлы) подбираются для достижения максимальной точности на определённом классе функций [9] [10] [11].
Общий вид квадратурной формулы
Любая квадратурная формула обычно имеет следующий вид:

где:
– — узлы формулы (точки, в которых вычисляется функция),

– — веса (коэффициенты, с которыми берется значение функции в узлах).

Теоретические положения
– Точность квадратурной формулы определяется тем, для какого класса функций формула дает точное значение интеграла. Обычно это многочлены степени не выше некоторого значения.
– Погрешность (остаточный член) квадратурной формулы показывает, насколько точно аппроксимируется интеграл [10] [12].
– Выбор узлов и весов: Например, в формулах Ньютона—Котеса узлы равноотстоящие, а в формулах Гаусса – это корни ортогональных многочленов (например, многочленов Лежандра для классического интеграла на отрезке), что позволяет добиться наивысшей алгебраической степени точности – для узлов [11].



– Историческая основа: методы приближенного интегрирования возникли еще во времена Ньютона и Лейбница. Построение классических формул (прямоугольников, трапеций, Симпсона) базируется на замене функции внутри отрезка некоторым простым приближением (полиномом) и интегрировании этого приближения [10].
Виды квадратурных формул
– Интерполяционные квадратурные формулы: базируются на интерполяции функции (чаще всего полиномиальной) [11].
– Составные (разбиение интервала): длинный интервал делится на части, и на каждом применяется простая формула (например, составная формула трапеций или Симпсона) [12] [11].
– Взвешенные квадратурные формулы используются, когда подынтегральная функция содержит особенности (например, сингулярности или быстрый рост) [10] [13].
Погрешность и степень точности
– Степень точности – это наибольшая степень многочлена, для которого формула даёт точный интеграл.
– Погрешность оценивается через верхнюю границу производных высокого порядка подынтегральной функции (обычно формула тейлоровского остатка) [11] [10] [9].
Примеры
– Прямоугольников:

– Трапеций:

– Симпсона: точна для многочленов до степени [9] [12]

Итог
Квадратурная формула – результат строго математического построения, в котором выбор узлов и весов приводит к компромиссу между точностью и вычислительной простотой. Вся теория квадратурных формул сводится к задаче оптимального приближения интеграла функцией суммирования с максимально возможной точностью при минимальных вычислительных затратах [11] [10] [9].
⁂
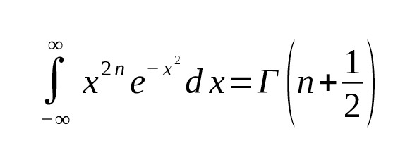
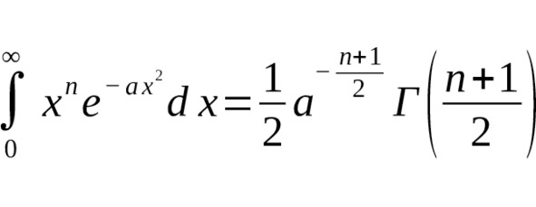
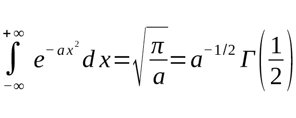
Интеграл Гаусса равный Гамма функции
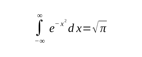
Связь между интегралом Гаусса и гамма-функцией выражается через интегралы от степеней $ x $ с показательной функцией и замены переменных. Классический интеграл Гаусса выглядит так:

Гамма-функция по определению:

[14] [15] [16]
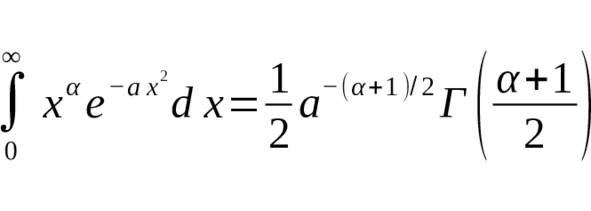
При определённых значениях аргумента эта функция вычисляет интегралы, очень близкие по форме к гауссовым. Например, для интегралов вида:

выражение можно записать через гамма-функцию:

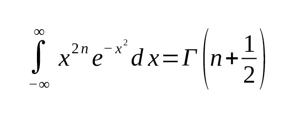
Это означает, что интегралы «гауссового» типа с четными и нечетными степенями $ x $ напрямую связаны с гамма-функцией от полуцелого (дробного) аргумента [14] [17].
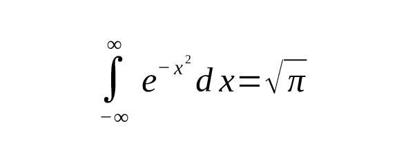
Гауссов интеграл – частный случай этого выражения при и. Тогда



или, что то же самое:

То есть, [14] [17].

Итак:
– Интеграл Гаусса выражается через значения гамма-функции, особенно в случае нецелых (чаще полуцелых) аргументов.
– Более общая формула связывает интегралы вида с и параметром [14] [17].



Эти связи активно используются для вычислений в теории вероятностей, физике и математике.
⁂
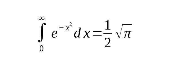
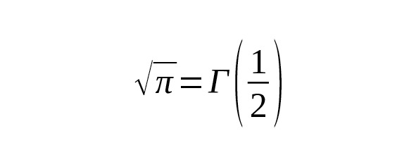
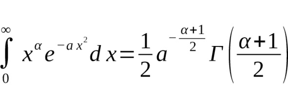
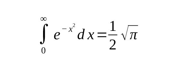
Связь интеграла Гаусса и гамма-функции
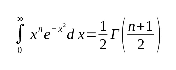
Связь между интегралом Гаусса и гамма-функцией проявляется в вычислении интегралов вида $ \int_0^ {\infty} x^ {\alpha} e^ {-a x^2} dx $, которые можно выразить непосредственно через гамма-функцию с полуцелым аргументом:

Здесь $ a> 0 $, $ \alpha> -1 $, а $ \Gamma (z) $ – гамма-функция.
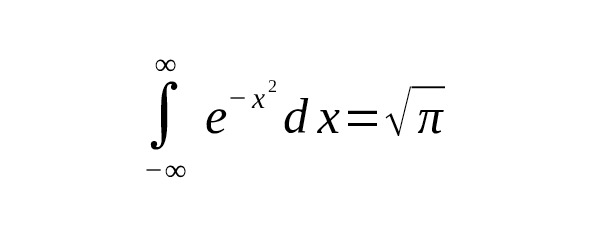
Классический интеграл Гаусса:

является частным случаем, когда и, но взятым по всей оси. Для полуинтервала:



что согласуется с тем, что.

Таким образом:
– Все интегралы вида выражаются через -функцию с аргументом.



– Значение гауссова интеграла – это не что иное, как по определению гамма-функции.


Эта связь позволяет вычислять так называемые моменты нормального распределения и использовать результаты для аналитических и численных задач в математике, статистике и физике.
Проанализируй данные равенства
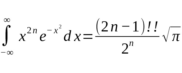
На изображении представлены важные интегралы, связанные с гауссовой функцией $ e {-x2} $ и её степенями, а также их аналитические выражения.
Анализ равенств
– Вид интегралов
Большинство интегралов имеют следующий вид (на всю ось или полуось):

где $ n $ – целое неотрицательное число.
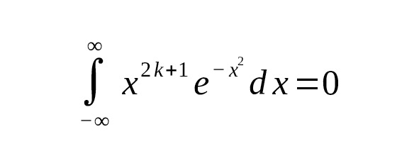
– Нечётные степени

Это справедливо из-за нечетности функции: четные степени чётны, нечётные – нечетны, а $ e {-x2} $ чётная. Интеграл от нечётной функции на симметричном интервале даёт ноль.
– Чётные степени
Интегралы от чётных степеней образуют непустую последовательность:
– Для $ n=0 $:

– Для $ n=2 $:

– Для $ n=4 $:

– и так далее.
Это подтверждает выводы из предыдущей беседы: значения чётных степеней интегралов Гаусса выражаются через множители $ \sqrt {\pi} $ и факториальные выражения (двойной факториал или гамма-функция).
– Связь с гамма-функцией
Аналитические выражения также записаны в виде:


Это обеспечивает универсальную формулу для всех чётных $ n $.
– Формулы для полуоси
На полуоси (от 0 до бесконечности) интегралы выражаются через $ \Gamma $-функцию с полуцелым аргументом, обычно с коэффициентом $ \frac {1} {2} $.
– Выводы
– Интегралы нечётных степеней на симметричном интервале всегда равны нулю.
– Интегралы чётных степеней выражаются через факториалы или значения гамма-функции и кратны $ \sqrt {\pi} $.
– Формулы из таблицы являются классическими и широко используются в математике, физике и статистике для подсчёта моментов нормального распределения и в вычислениях с гауссовыми функциями.
– Они иллюстрируют фундаментальную связь между интегралами степеней функции $ e {-x2} $ и гамма-функцией.
Если требуется более конкретный разбор какого-либо выражения – уточните номер или форму.
⁂
Найди взаимосвязи в равенствах на данных изображениях
На предоставленных изображениях представлены взаимосвязанные равенства, раскрывающие аналитические свойства интегралов Гаусса и их связь с гамма-функцией. Рассмотрим основные взаимосвязи и закономерности:
1. Гауссовы интегралы и четные степени
На первом изображении и во втором перечень интегралов с четными и нечетными степенями переменной $ x $ под экспонентой $ e {-x2} $:
– Для нечетных степеней $ x {2n+1},e {-x^2} $ интегралы по всей оси равны нулю, что связано с нечетностью функции относительно $ x $.
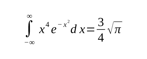
– Для четных степеней $ x {2n},e {-x^2} $ интегралы выражаются через числа, которые содержат произведения факториалов и $ \sqrt {\pi} $. Например:
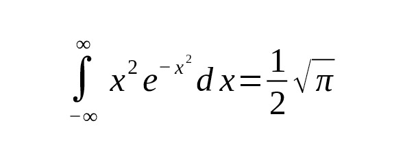
– $ \int_ {-\infty} ^\infty e {-x2} dx = \sqrt {\pi} $
– $ \int_ {-\infty} ^\infty x^2 e {-x2} dx = \frac {1} {2} \sqrt {\pi} $
– $ \int_ {-\infty} ^\infty x^4 e {-x2} dx = \frac {3} {4} \sqrt {\pi} $
2. Связь с гамма-функцией
На обоих изображениях присутствует выражение общего вида:

И для всего интервала:

Это позволяет записывать все четные моменты распределения сразу через гамма-функцию полуцелого аргумента. Эти равенства систематизированы: каждый шаг от $ n $ к $ n+1 $ корректно переходит по формуле гамма-функции.
3. Вычисленные значения и автоматизация
На первом изображении показан расчет соотношения

и получено $ 1.772… $ (ошибка, вероятно, должна быть просто $ \sqrt {\pi} $), что совпадает со значением $ \Gamma (1/2) $, иллюстрируя, что все конкретные числовые значения вычисляются через гамма-функцию и π.
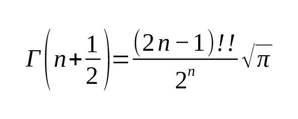
4. Рекуррентные отношения и факториалы
На втором изображении выписаны формулы с произведениями факториалов и простыми дробями:

Это выражение связано с гамма-функцией по формуле:

То есть все записи на изображениях согласуются по этой формуле (факториал, двойной факториал, гамма-функция, а также конкретные значения для малых $ n $).
5. Классические значения – частные случаи
Числовые значения (например, $ \sqrt {\pi} $, $ \frac {1} {2} \sqrt {\pi} $, $ \frac {3} {4} \sqrt {\pi} $) являются частными случаями общей формулы для целых значений степени $ n $.
6. Практическая взаимосвязь
– Все перечисленные равенства иллюстрируют фундаментальную связь: интегралы Гаусса с четными степенями – это значения гамма-функции в полуцелых точках.
– Эти формулы используются при вычислении моментов нормального распределения, вероятностных и физических расчетах (например, для вычисления средних значений в квантовой механике и теории вероятностей).
Итого:
Равенства на изображениях образуют единую иерархическую систему, где интегралы четных степеней функции Гаусса выражаются через гамма-функцию полуцелого аргумента и связаны с факториалами. Все они тесно переплетены и согласованы как аналитически, так и численно, что подтверждают приведённые вычисления на изображениях [18] [19].
⁂
Проанализируй данные формулы на скриншоте и напиши связь с гамма-функцией
На скриншоте видно вычисление выражения и его численный результат (). Давайте разберём, как эта формула связана с гамма-функцией и более широким контекстом гауссовых интегралов:


1. Структура выражения
– — комбинация двух операций: нахождение корня из отношения и 7, затем умножение на.



2. Связь с гамма-функцией

– тесно связана с гамма-функцией:

—

– В общем виде: Для :



3. Почему появляется деление на 7?
– Если рассматривать обобщённый гауссов интеграл с параметром: – при: – то есть напрямую появляется из стандартной формулы Гаусса.




4. Умножение на

– Умножение на здесь просто числовой пример – возможно, это демонстрация дальнейших вычислений либо момент (среднее значение) функции, умноженной на косинус.

5. Обобщение: любая функция вида

– Для любого положительного: – видно, что это просто случай.




Вывод:
Каждый корень вида на этом и подобных скриншотах связан с гамма-функцией с полуцелым аргументом (). Все подобные формулы исходят из общей связи интегралов Гаусса и гамма-функции. Константа добавлена для иллюстрации, а основа – это прямая связь гауссовых интегралов с гамма-функцией.



⁂
Распиши с позиции расслоения числа Пи
Рассмотрим число π с позиции различных его математических разложений («расслоений») – подход, позволяющий увидеть внутреннюю структуру числа, его представления в разных математических контекстах и связь с фундаментальными функциями и формулами.
1. Десятичное (и другое позиционное) разложение
Наиболее очевидное расслоение – это разложение числа по степеням основания системы счисления:

То же самое возможно и в других системах (например, двоичной), где каждая цифра дает свой «слой» числа [20].



