Полная версияScientific American Supplement, No. 275, April 9, 1881
[Transcribers note 1: corrected from 'as will we explained']
All the pipes for supplying compressed air in tunnels and in headings of mines are left uncovered, and have flanged joints; which are advantages not merely as regards prevention of leakage, but also for facility of laying and of inspection. If a compressed air pipe had to be buried in the ground the flanged joint would lose a part of its advantages; but, nevertheless, the author considers that it would still be preferable to the ordinary joint.
It only remains to refer to the motors fed with the compressed air. This subject is still in its infancy from a practical point of view. In proportion as the air becomes hot by compression, so it cools by expansion, if the vessel containing it is impermeable to heat. Under these conditions it gives out in expanding a power appreciably less than if it retained its original temperature; besides which the fall of temperature may impede the working of the machine by freezing the vapor of water contained in the air.
If it is desired to utilize to the utmost the force stored up in the compressed air it is necessary to endeavor to supply heat to the air during expansion so as to keep its temperature constant. It would be possible to attain this object by the same means which prevent heating from compression, namely, by the circulation and injection of water. It would perhaps be necessary to employ a little larger quantity of water for injection, as the water, instead of acting by virtue both of its heat of vaporization and of its specific heat, can in this case act only by virtue of the latter. These methods might be employed without difficulty for air machines of some size. It would be more difficult to apply them to small household machines, in which simplicity is an essential element; and we must rest satisfied with imperfect methods, such as proximity to a stove, or the immersion of the cylinder in a tank of water. Consequently loss of power by cooling and by incomplete expansion cannot be avoided. The only way to diminish the relative amount of this loss is to employ compressed air at a pressure not exceeding three or four atmospheres.
The only real practical advance made in this matter is M. Mékarski's compressed air engine for tramways. In this engine the air is made to pass through a small boiler containing water at a temperature of about 120° Cent. (248° Fahr.), before entering the cylinder of the engine. It must be observed that in order to reduce the size of the reservoirs, which are carried on the locomotive, the air inside them must be very highly compressed; and that in going from the reservoir into the cylinder it passes through a reducing valve or expander, which keeps the pressure of admission at a definite figure, so that the locomotive can continue working so long as the supply of air contained in the reservoir has not come down to this limiting pressure. The air does not pass the expander until after it has gone through the boiler already mentioned. Therefore, if the temperature which it assumes in the boiler is 100° Cent. (212° Fahr.), and if the limiting pressure is 5 atm., the gas which enters the engine will be a mixture of air and water vapor at 100° Cent.; and of its total pressure the vapor of water will contribute I atm. and the air 4 atm. Thus this contrivance, by a small expenditure of fuel, enables the air to act expansively without injurious cooling, and even reduces the consumption of compressed air to an extent which compensates for part of the loss of power arising from the preliminary expansion which the air experiences before its admission into the engine. It is clear that this same contrivance, or what amounts to the same thing, a direct injection of steam, at a sufficient pressure, for the purpose of maintaining the expanding air at a constant temperature, might be tried in a fixed engine worked by compressed air with some chance of success.
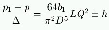
Whatever method is adopted it would be advantageous that the losses of pressure in the pipes connecting the compressors with the motors should be reduced as much as possible, for in this case that loss would represent a loss of efficiency. If, on the other hand, owing to defective means of reheating, it is necessary to remain satisfied with a small amount of expansion, the loss of pressure in the pipe is unimportant, and has only the effect of transferring the limited expansion to a point a little lower on the scale of pressures. If W is the net disposable force on the shaft of the engine which works the compressor, v1 the volume of air at the compressor, p1. given by the compressor, and at the temperature of the surrounding air, and p0 the atmospheric pressure, the efficiency of the compressor, assuming the air to expand according to Boyle's law, is given by the well-known formula–




III. Transmission by Pressure Water.–As transmission of power by compressed air has been specially applied to the driving of tunnels, so transmission by pressure water has been specially resorted to for lifting heavy loads, or for work of a similar nature, such as the operations connected with the manufacture of Bessemer steel or of cast-iron pipes. The author does not propose to treat of transmissions established for this special purpose, and depending on the use of accumulators at high pressure, as he has no fresh matter to impart on this subject, and as he believes that the remarkable invention of Sir William Armstrong was described for the first time, in the "Proceedings of the Institution of Mechanical Engineers." His object is to refer to transmissions applicable to general purposes.
The transmission of power by water may occur in another form. The motive force to be transmitted may be employed for working pumps which raise the water, not to a fictitious height in an accumulator, but to a real height in a reservoir, with a channel from this reservoir to distribute the water so raised among several motors arranged for utilizing the pressure. The author is not aware that works have been carried out for this purpose. However, in many towns a part of the water from the public mains serves to supply small motors–consequently, if the water, instead of being brought by a natural fall, has been previously lifted artificially, it might be said that a transmission of power is here grafted on to the ordinary distribution of water.
Unless a positive or negative force of gravity is introduced into the problem, independently of the force to be transmitted, the receivers of the water pressure must be assumed to be at the same level as the forcing pumps, or more correctly, the water discharged from the receivers to be at the same level as the surface of the water from which the pumps draw their supply. In this case the general efficiency of transmission is the product of three partial efficiencies, which correspond exactly to those mentioned with regard to compressed air. The height of lift, contained in the numerator of the fraction which expresses the efficiency of the pumps, is not to be taken as the difference in level between the surface of the water in the reservoir and the surface of the water whence the pumps draw their supply; but as this difference in level, plus the loss of pressure in the suction pipe, which is usually very short, and plus the loss in the channel to the reservoir, which may be very long. A similar loss of initial pressure affects the efficiency of the discharge channel. The reservoir, if of sufficient capacity, may become an important store of power, while the compressed air reservoir can only do so to a very limited extent.
Omitting the subject of the pumps, and passing on at once to the discharge main, the author may first point out that the distinction between the ascending and descending mains of the system is of no importance, for two reasons: first, that nothing prevents the motors being supplied direct from the first alone; and second, that the one is not always distinct from the other. In fact, the reservoir may be connected by a single branch pipe with the system which goes from the pumps to the motors; it may even be placed at the extreme end of this system beyond the motors, provided always that the supply pipe is taken into it at the bottom. The same formula may be adopted for the loss of initial pressure in water pipes as for compressed air pipes, viz.,


Moreover, these results would appear to indicate a different law from that which is expressed by the formula b1 u2, as is easy to see by representing them graphically. It would be very desirable that fresh experiments should be made on water pipes at high pressure, and of various diameters. Of machines worked by water pressure the author proposes to refer only to two which appear to him in every respect the most practical and advantageous. One is the piston machine of M. Albert Schmid, engineer at Zurich. The cylinder is oscillating, and the distribution is effected, without an eccentric, by the relative motion of two spherical surfaces fitted one against the other, and having the axis of oscillation for a common axis. The convex surface, which is movable and forms part of the cylinder, serves as a port face, and has two ports in it communicating with the two ends of the cylinder. The concave surface, which is fixed and plays the part of a slide valve, contains three openings, the two outer ones serving to admit the pressure water, and the middle one to discharge the water after it has exerted its pressure. The piston has no packing. Its surface of contact has two circumferential grooves, which produce a sort of water packing acting by adhesion. A small air chamber is connected with the inlet pipe, and serves to deaden the shocks. This engine is often made with two cylinders, having their cranks at right angles.
The other engine, which is much less used, is a turbine on Girard's system, with a horizontal axis and partial admission, exactly resembling in miniature those which work in the hydraulic factory of St. Maur, near Paris. The water is introduced by means of a distributer, which is fitted in the interior of the turbine chamber, and occupies a certain portion of its circumference. This turbine has a lower efficiency than Schmid's machine, and is less suitable for high pressures; but it possesses this advantage over it, that by regulating the amount of opening of the distributer, and consequently the quantity of water admitted, the force can be altered without altering the velocity of rotation. As it admits of great speeds, it could be usefully employed direct, without the interposition of spur wheels or belts for driving magneto-electric machines employed for the production of light, for electrotyping, etc.
In compressed air machines the losses of pressure due to incomplete expansion, cooling, and waste spaces, play an important part. In water pressure machines loss does not occur from these causes, on account of the incompressibility of the liquid, but the frictions of the parts are the principal causes of loss of power. It would be advisable to ascertain whether, as regards this point, high or low pressures are the most advantageous. Theoretical considerations would lead the author to imagine that for a piston machine low pressures are preferable. In conclusion, the following table gives the efficiencies of a Girard turbine, constructed by Messrs. Escher Wyss & Co., of Zurich, and of a Schmid machine, as measured by Professor Fliegnor, in 1871:

It will be observed that these experiments relate to low pressures; it would be desirable to extend them to higher pressures.
IV. Transmission by Electricity.--However high the efficiency of an electric motor may be, in relation to the chemical work of the electric battery which feeds it, force generated by an electric battery is too expensive, on account of the nature of the materials consumed, for a machine of this kind ever to be employed for industrial purposes. If, however, the electric current, instead of being developed by chemical work in a battery, is produced by ordinary mechanical power in a magneto-electric or dynamo-electric machine, the case is different; and the double transformation, first of the mechanical force into an electric current, and then of that current into mechanical force, furnishes a means for effecting the conveyance of the power to a distance.
It is this last method of transmission which remains to be discussed. The author, however, feels himself obliged to restrict himself in this matter to a mere summary; and, indeed, it is English physicists and engineers who have taken the technology of electricity out of the region of empiricism and have placed it on a scientific and rational basis. Moreover, they are also taking the lead in the progress which is being accomplished in this branch of knowledge, and are best qualified to determine its true bearings. When an electric current, with an intensity, i, is produced, either by chemical or mechanical work, in a circuit having a total resistance, R, a quantity of heat is developed in the circuit, and this heat is the exact equivalent of the force expended, so long as the current is not made use of for doing any external work. The expression for this quantity of heat, per unit of time, is Ai²R; A being the thermal equivalent of the unit of power corresponding to the units of current and resistance, in which i and R are respectively expressed. The product, i²R, is a certain quantity of power, which the author proposes to call power transformed into electricity. When mechanical power is employed for producing a current by means of a magneto-electric or dynamo-electric machine–or, to use a better expression, by means of a mechanical generator of electricity--it is necessary in reality to expend a greater quantity of power than i²R in order to make up for losses which result either from ordinary friction or from certain electro magnetic reactions which occur. The ratio of the quantity, i²R, to the power, W, actually expended per unit of time is called the efficiency of the generator. Designating it by K, we obtain, W = i²R/K. It is very important to ascertain the value of this efficiency, considering that it necessarily enters as a factor into the evaluation of all the effects to be produced by help of the generator in question. The following table gives the results of certain experiments made early in 1879, with a Gramme machine, by an able physicist, M Hagenbach, Professor at the University at Basle, and kindly furnished by him to the author:

M. Hagenbach's dynamometric measurements were made by the aid of a brake. After each experiment on the electric machine, he applied the brake to the engine which he employed, taking care to make it run at precisely the same speed, with the same pressure of steam, and with the same expansion as during experiment. It would certainly be better to measure the force expended during and not after the experiment, by means of a registering dynamometer. Moreover, M. Hagenbach writes that his measurements by means of the brake were very much prejudiced by external circumstances; doubtless this is the reason of the divergences between the results obtained.
About the same time Dr. Hopkinson communicated to this institution the results of some very careful experiments made on a Siemens machine. He measured the force expended by means of a registering dynamometer, and obtained very high coefficients of efficiency, amounting to nearly 90 per cent. M. Hagenbach also obtained from one machine a result only a little less than unity. Mechanical generators of electricity are certainly capable of being improved in several respects, especially as regards their adaptation to certain definite classes of work. But there appears to remain hardly any margin for further progress as regards efficiency. Force transformed into electricity in a generator may be expressed by i ω M C; ω being the angular velocity of rotation; M the magnetism of one of the poles, inducing or induced, which intervenes; and C a constant specially belonging to each apparatus, and which is independent of the units adopted. This constant could not be determined except by an integration practically impossible; and the product, M C, must be considered indivisible. Even in a magneto-electric machine (with permanent inducing magnets), and much more in a dynamo-electric machine (inducing by means of electro-magnets excited by the very current produced) the product, M C, is a function of the intensity. From the identity of the expressions, i²R and i ω M C we obtain the relation M C = IR/ω which indicates the course to be pursued to determine experimentally the law which connects the variations of M C with those of i. Some experiments made in 1876, by M. Hagenbach, on a Gramme dynamo-electric machine, appear to indicate that the magnetism, M C, does not increase indefinitely with the intensity, but that there is some maximum value for this quantity. If, instead of working a generator by an external motive force, a current is passed through its circuit in a certain given direction, the movable part of the machine will begin to turn in an opposite direction to that in which it would have been necessary to turn it in order to obtain a current in the aforesaid direction. In virtue of this motion the electro-magnetic forces which are generated may be used to overcome a resisting force. The machine will then work as a motor or receiver. Let i be the intensity of the external current which works the motor, when the motor is kept at rest. If it is now allowed to move, its motion produces, in virtue of the laws of induction, a current in the circuit of intensity, i1, in the opposite direction to the external current; the effective intensity of the current traversing the circuit is thus reduced to i – i1. The intensity of the counter current is given, like that of the generating current, by the equation, i12R = i1 ω1 M1 C1, or i1R = ω1 M1 C1, the index, 1, denoting the quantities relating to the motor. Here M1 C1 is a function of i – i1, not of i. As in a generator the force transformed into electricity has a value, i ω M C, so in a motor the force developed by electricity is (i – i1) ω1 M1 C1. On account, however, of the losses which occur, the effective power, that is the disposable power on the shaft of the motor, will have a smaller value, and in order to arrive at it a coefficient of efficiency, K1, must be added. We shall then have W1 = K1 (i-i1) ω1 M1 C1. The author has no knowledge of any experiments having been made for obtaining this efficiency, K1. Next let us suppose that the current feeding the motor is furnished by a generator, so that actual transmission by electricity is taking place. The circuit, whose resistance is R, comprises the coils, both fixed and movable, of the generator and motor, and of the conductors which connect them. The intensity of the current which traverses the circuit had the value, i, when the motor was at rest; by the working of the motor it is reduced to i – i1. The power applied to the generator is itself reduced to W-[(i-i1)ω M C]/K. The prime mover is relieved by the action of the counter current, precisely as the consumption of zinc in the battery would be reduced by the same cause, if the battery was the source of the current. The efficiency of the transmission is W1/W. Calculation shows that it is expressed by the following equations:W1/W = K K1 [(ω11 M1 C1)/(ω1 M C)], or = K K1 [(ω11 M1 C)/(ω11 M1 C1 + (i-i1) R)]; expressions in which it must be remembered M C and M1 C1 are really functions of (i-i1). This efficiency is, then, the product of three distinct factors, each evidently less than unity, namely, the efficiency belonging to the generator, the efficiency belonging to the motor, and a third factor depending on the rate of rotation of the motor and the resistance of the circuit. The influence which these elements exert on the value of the third factor cannot be estimated, unless the law is first known according to which the magnetisms, M C, M1 C C1, vary with the intensity of the current.
GENERAL RESULTS
Casting a retrospective glance at the four methods of transmission of power which have been examined, it would appear that transmission by ropes forms a class by itself, while the three other methods combine into a natural group, because they possess a character in common of the greatest importance. It may be said that all three involve a temporary transformation of the mechanical power to be utilized into potential energy. Also in each of these methods the efficiency of transmission is the product of three factors or partial efficiencies, which correspond exactly–namely, first, the efficiency of the instrument which converts the actual energy of the prime mover into potential energy; second, the efficiency of the instrument which reconverts this potential energy into actual energy, that is, into motion, and delivers it up in this shape for the actual operations which accomplish industrial work; third, the efficiency of the intermediate agency which serves for the conveyance of potential energy from the first instrument to the second.
This last factor has just been given for transmission by electricity. It is the exact correlative of the efficiency of the pipe in the case of compressed air or of pressure water. It is as useful in the case of electric transmission, as of any other method, to be able, in studying the system, to estimate beforehand what results it is able to furnish, and for this purpose it is necessary to calculate exactly the factors which compose the efficiency.
In order to obtain this desirable knowledge, the author considers that the three following points should form the aim of experimentalists: First, the determination of the efficiency, K, of the principal kinds of magneto-electric, or dynamo-electric machines working as generators; second, the determination of the efficiency, K1, of the same machines working as motors; third, the determination of the law according to which the magnetism of the cores of these machines varies with the intensity of the current. The author is of opinion that experiments made with these objects in view would be more useful than those conducted for determining the general efficiency of transmission, for the latter give results only available under precisely similar conditions. However, it is clear that they have their value and must not be neglected.



