
Полная версия:
Все науки. №6, 2024. Международный научный журнал
Из этого можно сделать вывод, что ядерной реакции синтеза исходные ядра должны обладать относительно большой кинетической энергией, ибо они испытывают довольно мощное электростатическое отталкивание при прохождении с их стороны кулоновского барьера. Их кинетическую энергию, по молекулярно-кинетической теории можно представлять в виде температуры всего вещества, следовательно нагрев приведёт к увеличению кинетической энергии составных частиц и их слиянию. Именно так и развивается нуклонный синтез в недрах звёзд с образованием новых ядер под огромной температурой.
В частности, в большом количестве происходит реакция слияния протонов, ядер гелия, а также как побочный результат, образуются и иные изотопы веществ, в том числе дейтерий и тритий, как изотопы водорода. И наконец, последний вид ядерной реакции – фотоядерная реакция, в этом случае происходит поглощение гамма-кванта с достаточной энергией, чтобы возбудить нуклонный состав, то есть ядро, благодаря чему оно становится составным, то есть его можно считать таковым, а также высвобождает из себя иную структуру, либо распадается.
Данный процесс и называется фотоядерной реакцией или ядерным фотоэффектом. И в заключение стоит отметить, что ядерные реакции могут быть записаны как в виде уравнения, как это демонстрировалось ранее, или, к примеру в (9), также имеет место несколько иная запись (10).


По итогу можно сделать о большой важности наличия знаний о самих ядерных реакциях у любого исследователя, контактирующего с данной областью, в том числе и с физикой резонансных ядерных реакций.
И если заметить, то как и было отмечено, ядерная физика развивалась на протяжении многого времени, не говоря о времени, которое потратило человечество, для изучения структуры всей материи и вещества в целом. Но активные исследования привели к совершенно недавнему открытию нового направления в этой области, а именно к физике резонансных ядерных реакций. Впервые подобная терминология была использована и практически продемонстрирована в монографии 2021 года Алиева И. Х. и Шарофутдинова Ф. М. «Использование ускорителей и явлений столкновения элементарных частиц с энергией высокого порядка для генерации электрической энергии. Проект „Электрон“», которая в дальнейшем получила своё продолжение.
2. Физика резонансных ядерных реакций
Создателем физики резонансных ядерных реакций, является Алиев И. Х., но на чём же основана эта дисциплина? Она изучает и определяет максимально благоприятные условия для возникновения своего рода скачков мощностей продуктов ядерных реакций, которые и носят название резонансов. Если говорить проще, то, когда проходит ядерная реакция, у неё образуются продукты реакции, о которых говорилось в одной из предыдущих лекций и все обстоятельства, которые приводят к тому, что реакция будет более эффективной и их энергии будут большими и является тем, что изучает физика резонансных ядерных реакций.
Рассмотрим на примере. Пусть на ядро некоторого элемента направляются заряженные частицы, это могут протоны, ионы, электроны, всё что угодно. И при приближении к ядру, возникает явление кулоновского отталкивания, он действует только на одноимённые заряды, а именно на ядра, но не действует на нейтральные частицы, к примеру на нейтроны, хотя сами нейтроны тоже имеют минимальный заряд. Частица тратит какую-то энергию на преодоление кулоновского барьера и остаётся с некоторой её частью, которую она тратит на преодоление самого ядра и дальнейшего прохождения ядерной реакции.
В реакции выделяется соответствующая энергия, если это эндо-энергетическая, за счёт неравности масс, то есть какая-то часть массы превращается в энергию и её уже получают продукты самой реакции – вылетающие частицы, а также они получают ту оставшуюся часть энергии от бомбардировавшей частицы. И общая энергия этих продуктов реакции определяется по соответствующему математическому аппарату, но нам необходим скачок именно мощности.
Мощность – это произведение тока пучка на его энергию, то есть напряжение. Энергия действительно для благоприятных реакций большая и измеряется в МэВ, но ток крайне мал. Нужно каким-то образом его увеличить. Чтобы это сделать, необходимо понять явление вероятности прохождения ядерной реакции. Пучок сам по себе он и волна, и корпускула, то есть частица, согласно корпускулярно-волновому дуализму, о котором можно подробнее узнать из курса квантовой физики, поэтому она имеет свою длину волны де Бройля (1).

И когда частица приближается к ядру, даже если она в неё не попала и не дотронулась до него, если она находится на расстоянии своей длины волны, то взаимодействие будет. Да, действительно, даже не касаясь частица может «удариться» и войти во взаимодействие, таковы законы микромира. Значит, нужно увеличить эту длину волны, а для этого нужно уменьшить импульс, но, чтобы уменьшить импульс, нужно уменьшить скорость.
Но уменьшать скорость нужно так, чтобы частица прошла кулоновский барьер, из этого и можно сделать вывод, что энергия частицы максимально должна быть близкой к кулоновскому барьеру. И здесь, величина кулоновского барьера – это и есть резонансная энергия этой ядерной реакции.
Теперь, как же определить выходящую мощность? Для этого нужно вычислить энергию, что уже просто сделать, но как же определить резонансных ток? Чтобы его определить представим следующее. Пластина-мишень состоит из расположенных атомов и пусть внутрь входит определённое число заряженных частиц. Если расположить на начале мишени систему отсчёта, то можно использовать следующее положение о том, что частицы пройдут некоторую часть мишени, которая начинается на определённой координате и завершается на координате суммы этой координаты и толщины самой части, а толщина равна разности этих координат.
Встаёт вопрос к этому условию: сколько входящих заряженных частиц войдут во взаимодействие? Для этого укажем, что на первой координате имеется N (x) частиц, а на конечной точке N (x) -dN, соответственно, где dN – число взаимодействовавших заряженных частиц.
Определим количество ядер в этом отрезке двух координат – x и x+dx, если толщина между ними dx. Для этого введём значение плотности ядер, которое определяет количество ядер вещества в единице объёма, она определяется как отношение плотности вещества на его атомную массу в кг и изменяется в ядро/м3 (2).

Чтобы определить сколько ядер в указанной точке, достаточно эту величину (2) умножить на объём в этой части пластины, для этого её площадь умножается на толщину и на (2), что указано в (3).

Но чему равна площадь, попав в которую ядро попадёт во взаимодействие? Для одного ядра введём понятие ядерного эффективного сечения, той самой области, а поскольку действия происходят в круге относительно ядра атома, то эта величина определяется по (4).

Таким образом, площадь доступная для взаимодействия составляет (5).

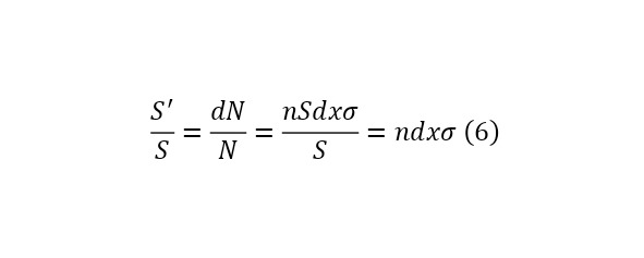
Но отношение этой площади ко всей площади плиты ведь равняется отношению количества всех оставшихся без взаимодействия частиц на общее количество частиц, то есть верно (6).

Теперь, введём численное определение для (6), а для этого проинтегрируем обе части (7) отдельно в (8) и (9), а затем получим общий результат (10).




Отсюда можно получить значение про-взаимодействовавших частиц (11).

А выходящую мощность можно вычислить и благодаря (12).

Откуда и получается скачок в мощности, то есть резонанс при приближении к энергии кулоновского взаимодействия в ядерной реакции. Именно этот процесс и является основной в этом направлении, которая позволяет при калибровке энергии получать резкие скачки в мощностях, а чтобы их осуществить необходимо создание и разработка специальных моноэнергетических ускорителей заряженных частиц с первым линейным ускорением, далее циклотронным.
Сегодня ведётся разработка единственного во всём мире моноэнергетического ускорителя ООО «Electron Laboratory» совместно с Объединённым Институтом Ядерных Исследований и Федеральным Государственным Унитарным Предприятием «Научно-исследовательский Институт Электрофизической Аппаратуры имени Дмитрия Васильевича Ефремова» и других организаций.
Для описания самого ускорителя достаточно привести небольшое цитирование из монографии Алиева И. Х. «Новые параметры по ядерным реакциям для осуществления на ускорителе заряженных частиц ЛЦУ-ЭПД-300»:
«Когда же актуальность проблемы энергетического голода в планетарном масштабе не раз была доказана и продемонстрирована проблема необходимости создания устройства и метода генерации электрической энергии с высокой эффективностью в крайне больших масштабах, что позволяло бы разрешить эту проблему и открыть путь для целого спектра многочисленных проектов и научных работ, нуждающиеся в подобном источнике электрической энергии, становится следующим этапом на пути развития этого большого проекта.
И поскольку проводились необходимые исследования в области поиска подобного источника и метода генерации энергии, то наконец решением были признаны ядерные реакции, которые бы увеличивали собственное сечение, следовательно, как вероятность прохождения самой реакции, так и количество действовавших реакций, что конечно же напрямую связано с общей эффективностью всей ядерной реакции. Что вытекает при учёте, что энергия вылетающих частиц из ядерной реакции, во всём картеже частиц, это общее напряжение, а количество вылетающих частиц, благодаря их заряду создаёт параметр силы тока системы.
Благодаря тому, что энергии подбираются с таким расчётом, что после прохождения кулоновского барьера, частица обладает энергией равной энергии её теплового аналога и уже этот факт увеличивает эффективное сечение всей ядерной реакции, в которое вступает частица, то такие ядерные реакции можно назвать резонансными, благодаря тому, что они вызывают резонанс в системе и только этим увеличивают общую эффективность всего осуществляемого процесса.
Резонансные ядерные реакции, впервые были открыты в сентябре 2021 года, после чего проводились активные исследования, которые привели к ряду публикаций, самым значительным среди которых было произведено в декабре 2021 года, коим является монография Алиева И. Х. и Шарофутдинова Ф. М. «Использование ускорителей и явлений столкновения элементарных частиц с энергией высокого порядка для генерации электрической энергии. Проект „Электрон“», к которой привело исследование в области поиска данного метода на протяжении 12 лет, при том учёте, что поиск в области физики атомного ядра и элементарных частиц, а также квантовой физике проходило на протяжении значительных 5 лет. Наименование резонансных ядерных реакций было придано данным системам в январе 2022 года со стороны Каримова Боходира Хошимовича и впервые фигурирует в данном исследований.
Благодаря тому, что актуальность резонансных ядерных реакций быстро вытекает из вышесказанного, то остаётся доказать актуальность того факта, что для осуществления указываемых ядерных реакций необходим ускоритель заряженных частиц, специального типа ЛЦУ (Линейно-циклотронный ускоритель), его класс ЭПД-20, вытекает из параметров, что в нём пучками являются протонные и дейтериевые пучки проекта «Электрон» с энергией до 20 МэВ. Благодаря тому, что энергия должна быть подобрана, к примеру, для обычной ядерной реакции бомбардировки лития-6 с выделением двух альфа-частиц необходимо наличие у протона с энергией 1,613245483 МэВ, и только при этом случае будет допускаться, что конечная энергия протона, после прохождения кулоновского барьера на ядерном радиусе составит 0,25 эВ, благодаря чему протон становится, что называется «тепловым» и эффективное сечение этой ядерной реакции измеряется уже в огромные единицах – кБн.
Но на сегодняшний день на всей планете нет ускорителя класса ЛЦУ, не говоря уже о подробном типа, имея общую кодировку ЛЦУ-ЭПД-20, который смог бы придать энергию протону равную 2,312691131 МэВ для первой, 1,978142789 МэВ для второй, 1,613245483 МэВ для третьей и 4,457595117 МэВ для четвёртой реакции, не потому, что эта энергия не достижима, отнюдь, эта энергия является мизерной в физике ускорителей, поскольку современные ускорители частиц фигурируют с энергиями в ГэВ и ТэВ. Причиной трудно достижимости таких результатов является именно точность, ускорители могут придать энергию в 1 МэВ, 1,5 МэВ или 2 МэВ, то есть конкретные значения, точность которых не превышает 1 или 2 порядков (под порядком имеется ввиду порядок дроби или точнее отрицательная степень основания показательной функции, то есть 10, представленной в модуле), а как видно, для данного эксперимента нужна куда более большая точность.
Важность исследований резонансных ядерных реакций была не раз констатирована в ряде научных статей и проводимых исследованиях, а также для этого была посвящена специальная монография «Использование ускорителей и явлений столкновения элементарных частиц с энергией высокого порядка для генерации электрической энергии. Проект „Электрон“», в которой подробно описывались 6 ядерных реакций, в 4 из которых происходил процесс бомбардировки мишени из бериллия, бора, алюминия и лития протонами, а в 2 из них, происходила бомбардировка мишени из лития-6 и лития-7 дейтронами, за счёт чего выделались на ряду с основным продуктом реакции – альфа-частицами, ещё и целый комплекс иных частиц, которые после отклонений в МГД-генераторе представлялись как электрический ток.
Говоря об описанном научном труде, важно отметить, что это была в первую очередь теоретическая работа, в которой имели места расчёты крайне высоких значений в связи с током, когда заряды пучков крайне большие, как и токи, доходя до нескольких кА. И лишь в завершении учитывались более приближённые данные. В данном же случае ведётся расчёт также и в моменте, когда токи малы и более приближены к реальным. Для сравнения, токи в недавно созданном циклотроне ДЦ-280 не доходили до значения в 1 А, а измерялись лишь в мА.
Такие же параметры можно привести и для электростатического ускорителя «ЭГ-2 СОКОЛ», ныне принадлежащий Научно-исследовательскому Институту полупроводников и микроэлектроники при Национальном Университете Республики Узбекистан.
Следовательно, для осуществления подобного рода ядерных реакций, когда необходимые особые условия, их необходимо в очередной раз указать и уточнить, максимально приблизив к реальным значениям. Кроме того, если подробно остановится на механизме реакций, получается картина с того, что как указывалось, важно наличие специального устройства – ускорителя заряженных частиц, который мог бы придавать большую энергию в размере нескольких МэВ, для заряженной частицы. После чего данная частица наталкивалась бы на мишень определённого вещества, благодаря чему и проходила определённая ядерная реакция. При этом происходит целый ряд процессов, одним из которых является преодоление кулоновского барьера, то есть даже если ядерная реакция происходит с выходом энергии, частица для осуществления этого действия всё равно должна затратить некоторую энергию, но если подобрать общую комбинацию следующим образом, чтобы затрачивалось такое количество энергии, благодаря чему в конечном итоге оставалось малое количество энергии, превращая налетающую частицу в медленную, то вероятность прохода этой реакции резко увеличивается до не малых значений, уже после кулоновского барьера, когда кулоновские силы уже не учитываются и процесс проходит на ядерном радиусе, как и было указано.
Таким образом актуально создание ЛЦУ, который придавал бы энергии заряженным частицам с 9—10 порядком, что значительно увеличивает эффективность всей исследуемой системы и приводит к более точному определению кулоновского и иных барьеров любой реакции. При этом данный ЛЦУ, имеет целый ряд преимуществ наряду со всеми имеющимися ускорителями, поскольку для начала, является комбинацией двух классов ускорителей: циклических и линейных.
Говоря же об ускорителях, важно отметить, что ускорители сами по себе просты, в них частицы ускоряются под действием электрического поля, на этом основан весь принцип. Также нельзя и усомниться в том, что наконец пришло время для реакции первых резонансных ядерных реакций на первом ЛЦУ. Ведь если прибегать к истории, то, к примеру, самый первый ускоритель был построен в 1930 году Лоуренсом Беркли. Первыми ускорителями считаются ускорители 1931 годов, когда был создан 23 см кольцевой циклотрон в Калифорнийском университете на ускорение водородных ионов с энергией в 1 МэВ. Также был разработан в 1932 году 28 см кольцевой протонный циклотрон на энергию в 1,2 МэВ в Беркли. Там же в Калифорнийском университете, Беркли разработаны действующий с 1932 по 1936 гг. 68 см кольцевой дейтериевый циклотрон на энергию 4,8 МэВ; действующий с 1937 по 1938 гг. 94 см кольцевой дейтериевый циклотрон на 8 МэВ; с 1939 г. по нынешнее время действующий 152 см кольцевой тритиевый циклотрон на 16 МэВ; с 1942 г. по нынешнее время действующий 467 см кольцевой циклотрон для различных заряженных частиц на энергию более 100 МэВ. Вместе с этим в 1932 году в Кавендишской лаборатории был сконструирован протонный электростатический протонный ускоритель на энергию 0,7 МэВ Кокрофта-Уолтона, действующий благодаря умножителю напряжения Эрнеста Томаса Синтона Уолтона и сэра Джона Дугласа Кокрофта (лауреатов 1951 г.), уже более известный также как умножитель напряжения Кокрофта-Уолтона.
Также известны ускорители Гарварда (1949—2002), Национальной лаборатории Оук-Ридж (1943-н.в.) для протонов и ядер урана с энергиями от 160 МэВ. Также создавались синхротроны известные как космотрон в Брукхейвенской национальной лаборатории, 1953—1968 гг. 72 метра для протонов в 3,3 ГэВ, также Бирменгемский сихротрон, беватро, ускоритель «Сатурн», Российский синхрофазотрон в Дубне, Протонный циклотрон в ЦЕРН. Перечисление ускорителей может быть довольно долгим процессом, не говоря уже об описании каждого, благодаря разности их видов, характеристик и физики. Поэтому нет места для сомнений в прохождении достаточно пути в данной сфере со стороны мировой науки, чтобы начались исследования и работы в конструировании новейшего циклотрона резонансного типа.
Целью данной научно-исследовательской работы является полная разработка ускорителя заряженный частиц «ЛЦУ-ЭПД-20» (линейно-циклотронный ускоритель протон-дейтериевого циклотрона для проекта «Электрон» с энергией до 20 МэВ, с высоким порядком), для подробного исследования резонансных ядерных реакций.
Задачами данного исследования являются:
· Изучение общей системы работы, физики и истории ускорителей;
· Разработка электрической системы ускорения (ВЧ-система);
· Вычисление параметров и алгоритма создания магнитной системы;
· Изучение вакуумной системы и разработка метода достижения необходимого уровня вакуума;
· Разработка системы контроля действия ускорителя и придачи необходимого уровня энергии;
· Разработка механизма и физики детектирования получаемых результатов;
· Создание технологии математического моделирования системы ускорителя заряженных частиц;
· Описание вариаций работы на ускорителе на примерах резонансных ядерных реакций.
Объектом данного исследования является ускоритель заряженных частиц ЛЦУ-ЭПД-20 резонансного типа.
Предметом исследования является изучение процесса создания ускорителя заряженных частиц резонансного типа, и технология проведения на данном ускорителе экспериментов.
Для данного исследования были применён инструментальный, эмпирический и теоретический метод исследования (с некоторыми оговорками), что выдало необходимые важные результаты.
Научная новизна данной исследовательской работы заключается в следующем:
· Первое слияние двух классов ускорителей: циклотронного и линейного, в итоге чего образуется система ЛЦУ;
· Впервые разрабатывается система, действующая в масштабе 9—10 порядков;
· Открыта возможность к проведению экспериментов с значениями энергий в 3 единиц 11—12 порядок, благодаря варьированию значения до 20 МэВ;
· Первое применение возможности проведения ядерных реакций на протонах и дейтронах с оперированием кулоновскими барьерами на любых ядрах;
· Единственное устройство на планете за всю историю человечество с такой критической точностью эксперимента;
· Указание в качестве первого исследования в области физики резонансных ядерных реакций;
· Первое представление ускорителя заряженных частиц в качестве источника электрической энергии;
· Единственные исследования в качестве ускорителя без перехода к методу генерации электрической энергии с переходом в котлованный механизм;
· Огромный объём генерируемой электрической энергии;
· Возможность перехода на высшие ядра (с 119 ядра).
Говоря о новизне данного исследования, наряду с множеством пунктом, которые в данном случае приводятся лишь частично, важно уточнить тот факт, что особенностью ускорителя, создаваемого для научно-исследовательской лаборатории при проекте «Электрон» ЛЦУ-ЭПД-20 является точность. Именно возможность придавать дуантам определённое напряжение, что при проходе через щели электрического поля, где и осуществляется ускорение пучка, ускоряется только на некоторое число, которая является лишь частью конечной энергии.
Как можно указать в самом названии реакции, необходимо вызвать резонанс, но не из-за частного «совпадения», а именно из-за энергетического подхода, как это описывалось ранее, но будет ещё более подробно описываться в последующих главах, где изначально приводится история ускорительной техники, затем разрабатывается основной физический и математический аппарат, позволяющий уже оперировать с образующимися системами ускорения пучка.
Практические результаты заключатся в следующем:
· Разработана целая программа по реализации ЛЦУ-ЭПД-20;
· Вычислены все необходимые данные ЛЦУ-ЭПД-20;
· Получена вся физика и методы работы для нового ЛЦУ-ЭПД-20;
· Разработана технология создания ускорителя ЛЦУ-ЭПД-20;
· Выражены отличительные черты резонансных ускорителей;
· Разработан проект научно-исследовательской лаборатории при новом проекте «Электрон» с использованием ЛЦУ-ЭПД-20;
· Разработана концепция научно-исследовательской лаборатории при проекте «Электрон» с использованием ЛЦУ-ЭПД-20;
· Опубликована монография «Использование ускорителей и явлений столкновения элементарных частиц с энергией высокого порядка для генерации электрической энергии. Проект „Электрон“» с описанием 1 этапа исследования проекта «Электрон»;
· Планируется публикация целого списка монографий для подробного описания проекта ускорителя ЛЦУ-ЭПД-20;
· Разработана «Дорожная карта» проекта «Электрон».
Достоверность результатов основана на том, что будут использованы общепринятые математические, физические и иные операции. А также будут использованы экспериментальные данные, полученные в различных лабораториях и научно-исследовательских центрах, а также из практики учёных, по созданию такого рода ускорителей.
Данное исследование было не раз обсуждено на собрании докторов и кандидатов физико-математических наук Ферганского Государственного Университета, рецензентов монографии по 1 этапу проекта «Электрон», учёных Ферганского Политехнического Института, а также при контакте-обсуждении с доктором технических наук, доцентом научно-исследовательского института физики полупроводников и микроэлектроники Национального Университета Узбекистана.



