
Полная версия:
Рынок облигаций. Анализ и стратегии

Дюрация
В главе 2 мы писали о том, почему цена облигации, не имеющей встроенных опционов, может быть выражена в виде формулы[18]:

где:
P – цена облигации;
C – полугодовая купонная выплата (в долларах);
y – половина доходности к погашению или требуемой доходности;
n – число полугодовых периодов (число лет × 2);
M – номинальная стоимость (в долларах).
Для выяснения примерного изменения цены при небольшом изменении доходности следует вычислить первую производную выражения (4.1) по требуемой доходности:

Преобразовав формулу (4.2), получаем:

Выражение в скобках – это средневзвешенный срок до погашения денежных потоков облигации (взвешивание производится по приведенной стоимости денежного потока).
Формула (4.3) обозначает приблизительное долларовое изменение цены при небольшом изменении требуемой доходности. Деление обеих частей выражения (4.3) на Р позволяет найти значение примерного процентного изменения:

Выражение в скобках, деленное на цену (в нашем случае умноженное на 1/Р), принято называть дюрацией Маколея[19], таким образом:

Подставив величину дюрации Маколея в формулу (4.4) для вычисления примерных процентных изменений цены, получим:

Отношение дюрации Маколея к 1 + у получило название модифицированной дюрации. Таким образом:

Подставив выражение (4.7) в формулу (4.6), получим:

Из формулы (4.8) видно, что модифицированная дюрация связана с примерным процентным изменением цены при данном изменении доходности. Поскольку для всех облигаций без встроенных опционов модифицированная дюрация является положительным числом, выражение (4.8) устанавливает обратную зависимость между модифицированной дюрацией и примерным процентным изменением цены при данном изменении доходности. Это закономерный результат: как известно, фундаментальный принцип движения цен на облигации гласит, что они изменяются в направлении, противоположном направлению движения процентных ставок.
В табл. 4.4 и 4.5 приводятся данные о дюрациях Маколея и модифицированных дюрациях двух пятилетних купонных облигаций. Дюрации выражены в количестве периодов (а не лет). Таким образом, мы имеем дело с полугодовой дюрацией: денежные потоки данных облигаций поступают раз в полгода. Для получения значений годовой дюрации, приведенные значения следует поделить на 2 (см. примечания к табл. 4.4 и 4.5). Заметим, что при поступлении денежного потока m раз в году дюрация, выраженная в годах, уточняется путем деления на m, т. е.:

Дюрация Маколея в годах и модифицированная дюрация для шести гипотетических облигаций равны:

Вместо того чтобы использовать выражение (4.5) для вычисления дюрации Маколея и формулу (4.7) для получения модифицированной дюрации, мы предлагаем разработать альтернативное выражение, не требующее кропотливых вычислений, предполагаемых формулой (4.5). Цену облигации мы выразим в терминах следующих двух компонентов: 1) приведенная стоимость аннуитета, где аннуитет – это сумма купонных выплат; и 2) приведенная стоимость номинала. Таким образом, цена облигации номинальной стоимостью $100 будет равна[20]:

Взяв первую производную выражения (4.9) и поделив результат на Р, получим новую формулу вычисления модифицированной дюрации:

где цена выражена в виде процента номинальной стоимости. Дюрация Маколея может быть получена посредством умножения выражения (4.10) на (1 + у). В качестве иллюстрации рассмотрим 25-летнюю 6 %-ную облигацию, торгующуюся по 70,357 при доходности 9 %. В этом случае:
С = 3 (= 0,06 × 100 × 1/2); y = 0,045 (= 0,09 × 1/2); n = 50; p = 70,357.Подставим имеющиеся значения в формулу (4.10) и получим:

Переведем значение в годы: поделим результат на 2 и получим 10,62 – модифицированную дюрацию. Умножим на 1,045 и получим 11,10 – дюрацию Маколея.

Свойства дюрации. Как видно из анализа значений дюраций шести гипотетических облигаций, модифицированная дюрация и дюрация Маколея купонных облигаций меньше, чем их срок до погашения. Из формулы явствует также, что дюрация Маколея облигации с нулевым купоном равна ее сроку до погашения; модифицированная дюрация облигации с нулевым купоном, однако, меньше ее длительности. Кроме того, чем меньше купон, тем, как правило, больше дюрация Маколея и модифицированная дюрация облигации[21].

Существуют определенные соответствия между свойствами волатильности, о которых мы писали выше, и свойствами модифицированной дюрации. Мы уже показали, что при прочих равных чем больше длительность, тем выше волатильность цены. Говоря о модифицированной дюрации, следует отметить, что при прочих равных чем больше длительность, тем больше модифицированная дюрация. Мы также обращали внимание читателя на то, что при прочих равных более низкие купонные ставки определяют более высокую волатильность цены. То же свойство характерно и для модифицированной дюрации: она, как правило, выше при более низких купонных ставках. Таким образом, чем больше значение модифицированной дюрации, тем выше волатильность цены.
И наконец, еще один отмеченный нами ранее фактор, влияющий на волатильность цены облигации, – доходность к погашению. При прочих равных, чем выше уровень доходности, тем ниже волатильность цены. Так же обстоит дело и с модифицированной дюрацией. Пример тому – собранные в таблице данные о модифицированной дюрации 25-летней облигации с 9 %-ным купоном при различных уровнях доходности:

Аппроксимация процентного изменения цены. Умножив обе части выражения (4.8) на величину изменения требуемой доходности (dy), мы получим следующее отношение:

Формула (4.11) может использоваться для аппроксимации процентных изменений цены при данных изменениях требуемой доходности.
В качестве примера рассмотрим 25-летнюю облигацию с купоном 6 %, торгующуюся по цене 70,3570 при доходности 9 %. Модифицированная дюрация облигации равна 10,62. Если доходность мгновенно возрастет с 9 % до 9,10 %, т. е. на +0,0010 (10 базисных пунктов), то аппроксимированное процентное изменение цены, согласно формуле (4.11), составит:
– 10,62 × 0,0010 = –0,0106, или –1,06 %.Из табл. 4.2 мы видим, что реальное процентное изменение цены составляет –1,05 %. Если же доходность вдруг упадет с 9 % до 8,90 % (падение на 10 базисных пунктов), то аппроксимированное процентное изменение цены, согласно формуле (4.11), окажется равным +1,06 %. Из табл. 4.2 мы знаем, что реальное процентное изменение цены равно +1,07 %. Мы видим, таким образом, что при малых изменениях требуемой доходности модифицированная дюрация дает хорошую аппроксимацию процентных изменений цены.
Допустим теперь, что изменения требуемой доходности велики: она возросла на 200 базисных пунктов и с 9 % увеличилась до 11 % (изменение доходности на +0,02). Аппроксимированное процентное изменение цены по формуле (4.11) равно:
– 10,62 × 0,02 = –0,2124, или –21,24 %.Насколько точна данная аппроксимация? Из табл. 4.2 видим: реальное процентное изменение цены составляет всего –18,03 %. Более того, если требуемая доходность падает на 200 базисных пунктов – с 9 % до 7 %, аппроксимированное процентное изменение цены, основанное на значении дюрации, составит +21,24 %, в то время как реальное процентное изменение будет равно +25,46 %. Модифицированная дюрация представляет процентные изменения цены, во-первых, неточно и, во-вторых, симметрично. Напомним, что выше мы писали о несимметричности взаимосвязи цена – доходность облигации при существенных изменениях доходности.
Формула (4.11) дает возможность по-новому интерпретировать модифицированную дюрацию. Предположим, что доходность некой облигации изменилась на 100 базисных пунктов. Тогда, подставив 100 базисных пунктов (0,01) в формулу (4.11), получим:

Модифицированная дюрация, таким образом, может быть интерпретирована как аппроксимированное процентное изменение цены при изменении доходности на 100 базисных пунктов.
Аппроксимация долларовых изменений цены. Модифицированная дюрация является приближением процентных изменений цены. Инвесторам, однако, бывает нужно узнать волатильность цены облигации в долларах. Напомним, что долларовая волатильность цены может быть найдена по формуле (4.2). Кроме того, умножение обеих частей равенства (4.8) на P дает:

Выражение справа принято называть долларовой дюрацией:
долларовая дюрация = = —модифицированная дюрация × Р. (4.13)Зная процентное изменение цены и стартовую цену, мы можем получить значение примерного изменения цены в долларах. Примерное изменение цены в долларах также может быть найдено посредством умножения обеих частей выражения (4.11) на Р:
dP = —модифицированная дюрация × Р(dy).Используя формулу (4.13), заменяем модифицированную дюрацию на долларовую. Получаем:
dP = —долларовая дюрация × (dy). (4.14)При малых изменениях требуемой доходности формула (4.14) дает неплохую оценку изменений цены. Рассмотрим, например, 25-летнюю 6 %-ную облигацию, торгующуюся по 70,3570 при доходности 9 %. Долларовая дюрация составит 747,2009. При росте требуемой доходности на 1 базисный пункт (0,0001) изменение цены для $100 номинальной стоимости равно:
dP = —$747,2009 × 0,0001 = —$0,0747.Из табл. 4.1 видно, что реальная цена равна 70,2824. Реальное ценовое изменение составит, соответственно, –0,0746 (70,2824 – 70,3570). Заметим, что долларовая дюрация при изменении цены на 1 базисный пункт равна ценовой стоимости базисного пункта.
Рассмотрим теперь ту же облигацию в ситуации существенного изменения требуемой доходности. Если требуемая доходность возрастает с 9 % до 11 % (т. е. на 200 базисных пунктов), то аппроксимированное долларовое изменение цены для $100 номинальной стоимости равно:
dP = —$747,2009 × 0,02 = —$14,94.Из табл. 4.1 мы знаем, что реальная цена этой облигации при требуемой доходности 11 % равна 57,6712. Таким образом, реальное падение цены составляет 12,6858 (57,6712 – 70,3570). Приблизительное долларовое изменение цены оказывается больше реального изменения. Обратную картину наблюдаем в ситуации падения требуемой доходности. Полученный результат согласуется с утверждениями, высказанными нами ранее. При существенных изменениях требуемой доходности как долларовая, так и модифицированная дюрации не дают адекватной аппроксимации реакции цены. При росте требуемой доходности дюрация представляет результат бо́льшим, чем он есть в действительности, занижая тем самым новую цену. Если требуемая доходность падает, дюрация представляет ценовые изменения меньшими, чем они на самом деле являются, таким образом занижая новую цену.
Дюрация спреда
Показатель дюрации спреда, рассчитываемый участниками рынка, имеет разный смысл у облигаций с фиксированной ставкой и облигаций с плавающей ставкой.
В первом случае, как мы уже объясняли, дюрация является мерой изменения стоимости облигации при движении процентных ставок. Причем, когда говорят о движении ставок, имеют в виду ставку по казначейским бумагам. Доходность неказначейских облигаций устанавливается с некоторым спредом к доходности казначейских бумаг, который представляет своего рода компенсацию за кредитный риск. С ценой неказначейской облигации связан риск изменения спреда, так называемый риск кредитного спреда. В силу рыночных требований кредитный спред способен меняться даже в условиях неизменности казначейской доходности. Меру изменения цены неказначейской облигации с учетом изменения спреда под действием рыночных сил называют дюрацией спреда. Понятно, что у казначейской ценной бумаги дюрация спреда равна нулю.
Дюрация спреда используется по-разному даже в случае облигаций с фиксированной ставкой. Как будет показано далее, существуют различные показатели спреда[22]. Таким образом, при интерпретации этого показателя важно понимать, какой именно спред используется. Дюрация спреда облигации с фиксированной ставкой имеет следующий смысл: это примерное изменение цены при изменении спреда на 100 базисных пунктов.
Как говорилось в главе 2, чувствительность цены облигации с плавающей ставкой зависит от того, меняется ли требуемый рынком спред. Напомним, что спред отражается в котируемой марже в формуле пересчета купона. Котируемая маржа обычно фиксируется на весь срок существования облигации. Здесь дюрация спреда служит оценкой чувствительности ценовой чувствительности облигации с плавающей ставкой к изменению спреда. Дюрация спреда, равная 1,4, означает, что при изменении требуемого рынком спреда на 100 базисных пунктов цена облигации с плавающей ставкой меняется примерно на 1,4 %.
Дюрация портфеля
До сих пор мы анализировали дюрации конкретных облигаций. Дюрация портфеля – это взвешенное среднее дюраций отдельных облигаций, входящих в портфель. Дюрация каждой облигации взвешивается в этом случае по процентному содержанию облигации в портфеле. Рассмотрим, например, такой портфель из четырех облигаций, имеющий общую рыночную стоимость $100 млн.

Вес облигации в портфеле – это рыночная стоимость облигации, деленная на общую рыночную стоимость портфеля, т. е. на $100 млн. Дюрация портфеля, таким образом, равна:
0,1 × 4 + 0,4 × 7 + 0,3 × 6 + 0,2 × 2 = 5,4.Дюрация портфеля равна 5,4 и интерпретируется следующим образом: если доходности всех облигаций в портфеле изменятся на 100 базисных пунктов, то стоимость портфеля изменится примерно на 5,4 %.
Портфельный менеджер рассматривает свои инвестиции в конкретную облигацию в терминах вклада в портфельную дюрацию. Эта величина вычисляется посредством умножения веса облигационного выпуска в портфеле на дюрацию конкретного выпуска, т. е.:
вклад в портфельную дюрацию = вес облигационного выпуска в портфеле × дюрация облигационного выпуска.Так, для портфеля из четырех облигаций, дюрация которого была подсчитана выше, вклад в портфельную дюрацию каждой из облигаций выглядит следующим образом (см. последнюю колонку таблицы):

Кроме того, управляющие портфелем изучают дюрации секторов рынка облигаций. Вклад сектора в портфельную дюрацию вычисляется так же, как вклад в портфельную дюрацию отдельного облигационного выпуска. Так, если А – сектор правительственных облигаций, В – сектор облигаций правительственных агентств, а D – сектор ипотечного кредитования, то вклад в портфельную дюрацию каждого сектора – значение из последней колонки таблицы.
Инвестиции могут оцениваться также с позиций денежной суммы. В этом случае вместо дюрации вычисляется долларовая дюрация облигационного выпуска или сектора.
ВЫПУКЛОСТЬ
Три меры волатильности цены, описанные нами в предыдущих разделах, с успехом применяются при небольших изменениях доходности или цены. Выше мы писали о взаимосвязи этих величин. Таблица 4.6 суммирует данную информацию.


Все меры дюрации представляют собой аппроксимации для небольших изменений доходности и не отражают поэтому выпуклости кривой, описывающей зависимость цены от доходности в ситуации существенного изменения величины доходности. Для того чтобы выпуклость этой кривой была адекватно описана, нам следует уточнить соответствующим образом меру дюрации. В этом разделе мы покажем, как связаны между собой выпуклость кривой цена – доходность и описанные выше характеристики волатильности цены.
На графике (рис. 4.2) представлена касательная, проведенная к линии цена – доходность через точку у*. Касательная показывает скорость изменения цены в зависимости от изменения процентных ставок в данной точке (при данном уровне доходности). Наклон касательной непосредственно связан со значением ценовой стоимости базисного пункта. Таким образом, при данной стартовой цене касательная (описывающая скорость абсолютного изменения цены) тесно связана с дюрацией облигации (описывающей скорость процентных ценовых изменений). Чем круче наклон касательной, тем больше дюрация; чем меньше угол наклона – тем дюрация меньше. Очевидно, что при данной стартовой цене касательная и дюрация являются взаимозаменяемыми аналитическими инструментами, позволяющими с одинаковой точностью оценить скорость изменения цены.
Обратим внимание на поведение дюрации (крутизны наклона касательной) при изменении доходности: при росте (падении) доходности, дюрация падает (растет). Это свойство, как мы отмечали ранее, характерно для облигаций без встроенных опционов.
Проведем, как это показано на рис. 4.3, вертикальную линию из любой точки доходности (на горизонтальной оси): расстояние между горизонтальной осью и касательной – это цена, аппроксимированная путем использования дюрации при начальной доходности у*. Аппроксимированный результат будет меньше реальной цены – феномен, который мы уже наблюдали, говоря об отношениях между дюрацией (касательной) и аппроксимированным ценовым изменением. При падении доходности предполагаемое изменение цены меньше реального – реальная цена, таким образом, недооценивается. И наоборот: если доходность растет, предполагаемое значение изменения цены будет больше, чем значение реального изменения – реальная цена опять окажется недооценена.
При небольших изменениях доходности линия касательной и дюрация дают хорошую аппроксимацию реальной цены. В то же время, чем дальше от точки начальной доходности у*, тем хуже аппроксимация. Очевидно, что точность аппроксимации непосредственно связана с выпуклостью кривой, отражающей зависимость цена – доходность облигации.

Измерение выпуклости
Дюрация (модифицированная или долларовая) предполагает описание выпуклой функции с помощью прямой линии (касательной). Возможно ли найти математическую формулу, обеспечивающую лучшую аппроксимацию изменений цены на облигацию при изменении требуемой доходности?
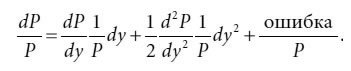
Попробуем применить первые два члена ряда Тейлора и аппроксимировать ценовые изменения следующим образом[23]:

Делим обе части равенства (4.15) на Р и получаем процентное изменение цены:

Первый член правой части равенства (4.15) – это выражение (4.14), т. е. долларовое изменение цены, измеренное на основе долларовой дюрации. Таким образом, первый член в выражении (4.15) – искомая аппроксимация абсолютных ценовых изменений на основе дюрации. В выражении (4.16) первый член правой части равенства – аппроксимация процентных изменений цены на основе модифицированной дюрации.
Вторые члены выражений (4.15) и (4.16) включают вторую производную функции цены (уравнения (4.1)). Это та самая вторая производная, которую мы используем в качестве поправки для учета влияния выпуклости зависимости цена – доходность. Вторую производную цены принято называть долларовой мерой выпуклости облигации. Итак:

Произведение долларовой меры выпуклости и квадрата изменения требуемой доходности является предполагаемым ценовым изменением, обусловленным выпуклостью. Таким образом, аппроксимированное изменение цены, обусловленное выпуклостью, равно:
dP = долларовая мера выпуклости × (dy)2. (4.18)Вторая производная, поделенная на цену, – это мера процентного изменения цены облигации, обусловленного выпуклостью; ее называют просто мерой выпуклости. Итак:

А процентное изменение цены, обусловленное выпуклостью, равно:

Вторая производная цены как функции доходности, выраженной согласно формуле (4.1), равна:

В табл. 4.7 и 4.8 приведены значения второй производной [формула (4.21)], годовой долларовой меры выпуклости и годовой меры выпуклости для двух пятилетних купонных облигаций. Мера выпуклости выражена в квадратах периодов. Для перевода меры выпуклости в годы следует поделить выражения (4.17) и (4.19) на 4 (т. е. 22). Таким образом, если денежный поток поступает m раз в году, выпуклость выражается в годах следующим образом:

Годовая долларовая мера выпуклости и годовая мера выпуклости для наших шести гипотетических облигаций выглядят следующим образом:


Вторая производная может быть также получена путем взятия второй призводной от выражения (4.9). Таким образом, мы можем упростить выражение (4.21):

В качестве примера использования формулы (4.22) рассмотрим 25-летнюю облигацию с купоном 6 %, торгующуюся по 70,357 при доходности 9 %. Вторая производная равна:

Обратите внимание на то, что полученное значение совпадает с результатом, найденным ранее.
Вычисление аппроксимированного процентного изменения цены с помощью дюрации и меры выпуклости
Из формулы (4.16) видно, что значение процентного изменения цены облигации может быть найдено с учетом двух величин: дюрации и меры выпуклости. Рассмотрим в качестве примера 25-летнюю облигацию с купоном 6 %, торгующуюся при доходности 9 %. Модифицированная дюрация облигации составляет 10,62, а мера выпуклости равна 182,92. Если требуемая доходность возрастет на 200 базисных пунктов – с 9 % до 11 %, то аппроксимированное процентное изменение цены облигации может быть получено следующим образом:
процентное изменение цены, обусловленное дюрацией, по формуле (4.11) == -модифицированная дюрация × dy == –10,62 × 0,02 = –0,2124 = –21,24 %;процентное изменение цены, обусловленное выпуклостью, по формуле (4.20) =

Предполагаемое процентное изменение цены, обусловленное дюрацией и выпуклостью, равно:
– 21,24 % + 3,66 % = –17,58 %.Из табл. 4.2 мы знаем, что реальное изменение составляет –18,03 %. Одновременное использование величин дюрации и меры выпуклости дает лучшую аппроксимацию реальных ценовых изменений при существенных изменениях требуемой доходности. Теперь представим себе, что требуемая доходность падает на 200 базисных пунктов. В этом случае аппроксимированное процентное изменение цены облигации может быть получено следующим образом:



