Полная версияCuriosities of Olden Times
In this case no cypher was employed; we shall come, now, to the use of cyphers.
When a despatch or communication runs great risk of falling into the hands of an enemy, it is necessary that its contents should be so veiled, that the possession of the document may afford him no information whatever. Julius Cæsar and Augustus used cyphers, but they were of the utmost simplicity, as they consisted merely in placing D in the place of A; E in that of B, and so on; or else in writing B for A, C for B, etc.
Secret characters were used at the Council of Nicæa; and Rabanus Maurus, Abbot of Fulda and Archbishop of Mayence in the ninth century, has left us an example of two cyphers, the key to which was discovered by the Benedictines. It is only a wonder that any one could have failed to unravel them at the first glance. This is a specimen of the first:
.Nc.p.t v: rs:·:s B::n.f: c.. :rch. gl::r.::s.q:.:: m: rt.r.sThe secret of this is that the vowels have been suppressed and their places filled by dots, – one for i, two for a, three for e, four for o, and five for u. In the second example, the same sentence would run – Knckpkt vfrsxs Bpnkfbckk, etc., the vowel-places being filled by the consonants – b, f, k, p, x. By changing every letter in the alphabet, we make a vast improvement on this last; thus, for instance, supplying the place of a with z, b with x, c with v, and so on. This is the system employed by an advertiser in a provincial paper which I took up the other day in the waiting-room of a station, where it had been left by a farmer. As I had some minutes to spare, before the train was due, I spent them in deciphering the following:
Jp Sjddjzb rza rzdd ci sijmr, Bziw rzdd xr ndzt:and in ten minutes I read: “If William can call or write, Mary will be glad.”
A correspondence was carried on in the Times during May 1862 in cypher. I give it along with the explanation.
Wws. – Zy Efpdolj T dpye l wpeepc ez mjcyp qzc jzf – xlj T daply qfwwj zy lww xleepcd le esp tyepcgtph? Te xlj oz rzzo. Ecfde ez xj wzgp – T lx xtdpclmwp. Hspy xlj T rz ez Nlyepcmfcj tq zywj ez wzzv le jzf. – May 8.
This means – “On Tuesday I sent a letter to Byrne for you. May I speak fully on all matters at the interview? It may do good. Trust to my love. I am miserable. When may I go to Canterbury if only to look at you?”
A couple of days later Byrne advertises, slightly varying the cypher:
Wws. – Sxhrdktg hdbtewxcv “Tmwxqxixdc axzt” udg pcdewtg psktgexhtbtce … QNGCT. “Discover something Exhibition-like for another advertisement. Byrne.”
This gentleman is rather mysterious: I must leave my readers to conjecture what he means by “Exhibition-like.” On Wednesday came two advertisements, one from the lady – one from the lover. WWS. herself seems rather sensible —
Tydeplo zq rztyr ez nlyepcmfcj, T estyv jzf slo xfns mpeepc delj le szxp lyo xtyo jzfc mfdtypdd. – WWS., May 10.
“Instead of going to Canterbury, I think you had much better stay at home and mind your business.”
Excellent advice; but how far likely to be taken by the eager wooer, who advertises thus? —
Wws. – Fyetw jzfc qlespc lydhpcd T hzye ldv jzf ez aczgp jzf wzgp xp. Efpdol ytrse le zyp znwznv slgp I dectyr qczx esp htyozh qzc wpeepcd. Tq jzt lcp yze lmwp le zyp T htww hlte. Rzo nzxqzce jzf xj olcwtyr htqp.
“Until your father answers I won’t ask you to prove you love me. Tuesday night at one o’clock have a string from the window for letters. If you are not able at one I will wait. God comfort you, my darling wife.”
Only a very simple Romeo and Juliet could expect to secure secrecy by so slight a displacement of the alphabet.
When the Chevalier de Rohan was in the Bastille, his friends wanted to convey to him the intelligence that his accomplice was dead without having confessed. They did so by passing the following words into his dungeon, written on a shirt: “Mg dulhxcclgu ghj yxuj; lm ct ulgc alj.” In vain did he puzzle over the cypher, to which he had not the clue. It was too short: for the shorter a cypher letter, the more difficult it is to make out. The light faded, and he tossed on his hard bed, sleeplessly revolving the mystic letters in his brain, but he could make nothing out of them. Day dawned, and, with its first gleam, he was poring over them: still in vain. He pleaded guilty, for he could not decipher “Le prisonnier est mort; il n’a rien dit.”
Another method of veiling a communication is that of employing numbers or arbitrary signs in the place of letters, and this admits of many refinements. Here is an example to test the reader’s sagacity:
§ †431 45 2+9 +§ 51 4= 8732+ 287 45 2+9 †¶=+I just give the hint that it is a proverb.
The following is much more ingenious, and difficult of detection.

Now suppose that I want to write England; I look among the small letters in the foregoing table for e, and find that it is in a horizontal line with B, and vertical line with B, so I write down BB; n is in line with A and E, so I put AE; continue this, and England will be represented by Bbaeacbdaaaeab. Two letters to represent one is not over-tedious: but the scheme devised by Lord Bacon is clumsy enough. He represented every letter by permutations of a and b; for instance,

and so through the alphabet. Paris would thus be transformed into abbba, aaaaa, baaaa, abaaa, baaab. Conceive the labour of composing a whole despatch like this, and the great likelihood of making blunders in writing it!
A much simpler method is the following. The sender and receiver of the communication must be agreed upon a certain book of a specified edition. The despatch begins with a number; this indicates the page to which the reader is to turn. He must then count the letters from the top of the page, and give them their value numerically according to the order in which they come; omitting those which are repeated. By these numbers he reads his despatch. As an example, let us take the beginning of this article: then, I = 1, n = 2, w = 3, h = 4, e = 5, m = 6, d = 7, l = 8, o = 9, u = 10, v = 11, omitting to count the letters which are repeated. In the middle of the communication the page may be varied, and consequently the numerical significance of each letter altered. Even this could be read with a little trouble; and the word “impossible” can hardly be said to apply to the deciphering of cryptographs.
A curious instance of this occurred at the close of the sixteenth century, when the Spaniards were endeavouring to establish relations between the scattered branches of their vast monarchy, which at that period embraced a large portion of Italy, the Low Countries, the Philippines, and enormous districts in the New World. They accordingly invented a cypher, which they varied from time to time, in order to disconcert those who might attempt to pry into the mysteries of their correspondence. The cypher, composed of fifty signs, was of great value to them through all the troubles of the “Ligue,” and the wars then desolating Europe. Some of their despatches having been intercepted, Henry IV. handed them over to a clever mathematician, Viete, with the request that he would find the clue. He did so, and was able also to follow it as it varied, and France profited for two years by his discovery. The court of Spain, disconcerted at this, accused Viete before the Roman court as a sorcerer and in league with the devil. This proceeding only gave rise to laughter and ridicule.
A still more remarkable instance is that of a German professor, Hermann, who boasted, in 1752, that he had discovered a cryptograph absolutely incapable of being deciphered, without the clue being given by him; and he defied all the savants and learned societies of Europe to discover the key. However, a French refugee, named Beguelin, managed after eight days’ study to read it. This cypher – though we have the rules upon which it is formed before us – is to us perfectly unintelligible. It is grounded on some changes of numbers and symbols; numbers vary, being at one time multiplied, at another added, and become so complicated that the letter e, which occurs nine times in the paragraph, is represented in eight different ways; n is used eight times, and has seven various signs. Indeed the same letter is scarcely ever represented by the same figure; but this is not all: the character which appears in the place of i takes that of n shortly after; another symbol for n stands also for t. How any man could have solved the mystery of this cypher is astonishing.
Now let me recommend a far simpler system, and one which is very difficult of detection. It consists of a combination of numbers and letters. Both parties must be agreed on an arrangement such as that in the second line below, for on it all depends.

Now in turning a sentence such as “The army must retire” into cypher, you count the letters which make the sentence, and find that T is the first, H the second, E the third, A the fourth, R the fifth, and so on. Then look at the table. T is the first letter; 4 answers to 1; therefore write the fourth letter in the place of T; that is A instead of T. For h the second, put the seventh, which is y; for E, take the second, h. The sentence will stand “Ayh utsr emma yhutsr.” It is all but impossible to discover this cypher.
All these cryptographs consist in the exchange of numbers or characters for the real letters; but there are other methods quite as intricate, which dispense with them.
The mysterious cards of the Count de Vergennes are an instance. De Vergennes was Minister of Foreign Affairs under Louis XVI., and he made use of cards of a peculiar nature in his relations with the diplomatic agents of France. These cards were used in letters of recommendation or passports which were given to strangers about to enter France; they were intended to furnish information without the knowledge of the bearers. This was the system. The card given to a man contained only a few words, such as:
ALPHONSE D’ANGEHARecommandé à Monsieurle Comte de Vergennes, par le Marquis de Puysegur,Ambassadeur de France à la Cour de LisbonneThe card told more tales than the words written on it. Its colour indicated the nation of the stranger. Yellow showed him to be English; red, Spanish; white, Portuguese; green, Dutch; red and white, Italian; red and green, Swiss; green and white, Russian; etc. The person’s age was expressed by the shape of the card. If it were circular, he was under 25; oval, between 25 and 30; octagonal, between 30 and 45; hexagonal, between 45 and 50; square, between 50 and 60; and oblong showed that he was over 60. Two lines placed below the name of the bearer indicated his build. If he were tall and lean, the lines were waving and parallel; tall and stout, they converged; and so on. The expression of his face was shown by a flower in the border. A rose designated an open and amiable countenance, whilst a tulip marked a pensive and aristocratic appearance. A fillet round the border, according to its length, told whether the man was bachelor, married, or widower. Dots gave information as to his position and fortune. A full stop after his name showed that he was a Catholic; a semicolon, that he was a Lutheran; a comma, that he was a Calvinist; a dash, that he was a Jew; no stop indicated him as an Atheist. So also his morals and character were pointed out by a pattern in the angles of the card, such as one of these:

Consequently, at one glance the minister could tell all about his man, whether he were a gamester or a duellist; what was his purpose in visiting France; whether in search of a wife or to claim a legacy; what was his profession – that of physician, lawyer, or man of letters; whether he were to be put under surveillance or allowed to go his way unmolested.
We come now to a class of cypher which requires a certain amount of literary dexterity to conceal the clue.
During the Great Rebellion, Sir John Trevanion, a distinguished Cavalier, was made prisoner, and locked up in Colchester Castle. Sir Charles Lucas and Sir George Lisle had just been made examples of, as a warning to “malignants”: and Trevanion has every reason for expecting a similar bloody end. As he awaits his doom, indulging in a hearty curse in round Cavalier terms at the canting, crop-eared scoundrels who hold him in durance vile, and muttering a wish that he had fallen, sword in hand, facing the foe, he is startled by the entrance of the gaoler who hands him a letter:
“May’t do thee good,” growls the fellow; “it has been well looked to before it was permitted to come to thee.”
Sir John takes the letter, and the gaoler leaves him his lamp by which to read it:
Worthie Sir John – Hope, that is ye beste comfort of ye afflictyd, cannot much, I fear me, help you now. That I wolde saye to you, is this only: if ever I may be able to requite that I do owe you, stand not upon asking of me. ’Tis not much I can do: but what I can do, bee you verie sure I wille. I knowe that, if dethe comes, if ordinary men fear it, it frights not you, accounting it for a high honour, to have such a rewarde of your loyalty. Pray yet that you may be spared this soe bitter, cup. I fear not that you will grudge any sufferings: only if bie submission you can turn them away, ’tis the part of a wise man. Tell me, an if you can, to do for you any thinge that you wolde have done. The general goes back on Wednesday. Restinge your servant to command.
R. T.
Now this letter was written according to a preconcerted cypher. Every third letter after a stop was to tell. In this way Sir John made out – “Panel at east end of chapel slides.” On the following even, the prisoner begged to be allowed to pass an hour of private devotion in the chapel. By means of a bribe, this was accomplished. Before the hour had expired, the chapel was empty – the bird had flown.
An excellent plan of indicating the telling letter or word is through the heading of the letter. “Sir,” would signify that every third letter was to be taken; “Dear sir,” that every seventh; “My dear sir,” that every ninth was to be selected. A system, very early adopted, was that of having pierced cards, through the holes of which the communication was written. The card was then removed, and the blank spaces filled up. As for example:
My dear X. – [The] lines I now send you are forwarded by the kindness of the [Bearer], who is a friend. [Is not] the message delivered yet [to] my Brother? [Be] quick about it, for I have all along [trusted] that you would act with discretion and despatch. – Yours ever,
Z.
Put your card over the note, and through the piercings you will read: “The Bearer is not to be trusted.”
The following letter will give two totally distinct meanings, according as it is read, straight through, or only by alternate lines: —
Mademoiselle, —
Je m’empresse de vous écrire pour vous déclarer que vous vous trompez beaucoup si vous croyez que vous êtes celle pour qui je soupire. Il est bien vrai que pour vous éprouver, Je vous ai fait mille aveux. Après quoi vous êtes devenue l’objet de ma raillerie. Ainsi ne doutez plus de ce que vous dit ici celui qui n’a eu que de l’aversion pour vous, et qui aimerait mieux mourir que de se voir obligé de vous épouser, et de changer le dessein qu’il a formé de vous haïr toute sa vie, bien loin de vous aimer, comme il vous l’a déclaré. Soyez done désabusée, croyez-moi; et si vous êtes encore constante et persuadée que vous êtes aimée vous serez encore plus exposée à la risée de tout le monde, et particulièrement de celui qui n’a jamais été et ne sera jamais
Votre ser’teur M. N.
We must not omit to mention Chronograms. These are verses which contain within them the date of the composition. In 1885 I built a boathouse by a lake in my grounds. A friend wrote the following chronogram for it, which I had painted, and affixed to the house:
Thy breaD upon the Waters CastIn CertaIn trust to fInd.sInCe Well thou know’st God’s eye doth Mark,Where fIshes’ eyes are bLind.This gives the date.
D = 500 + W= 510 + C = 610 + I = 611+ C = 711 + I = 712 + I = 713 + I = 714+ C = 814 + W = 824 + M = 1824+ W = 1834 + I = 1835 + L = 1885.The W represents two V’s, i. e. 10.
A very curious one was written by Charles de Bovelle: we adapt and explain it: —

It is now high time that we show the reader how to find the clue to a cypher. And as illustration is always better than precept, we shall exemplify from our own experience. With permission, too, we shall drop the plural for the singular.
Well! My friend Matthew Fletcher came into a property some years ago, bequeathed to him by a great-uncle. The old gentleman had been notorious for his parsimonious habits, and he was known through the county by the nickname of Miser Tom. Of course every one believed that he was vastly rich, and that Mat Fletcher would come in for a mint of money. But, somehow, my friend did not find the stores of coin on which he had calculated, hidden in worsted stockings or cracked pots; and the savings of the old man which he did light upon consisted of but trifling sums. Fletcher became firmly persuaded that the money was hidden somewhere; where he could not tell, and he often came to consult me on the best expedient for discovering it. It is all through my intervention that he did not pull down the whole house about his ears, tear up every floor, and root up every flower or tree throughout the garden, in his search after the precious hoard. One day he burst into my room with radiant face.
“My dear fellow!” he gasped forth, “I have found it!”
“Found what? – the treasure?”
“No – but I want your help now,” and he flung a discoloured slip of paper on my table.
I took it up, and saw that it was covered with writing in cypher.
“I routed it out of a secret drawer in Uncle Tom’s bureau!” he exclaimed. “I have no doubt of its purport. It indicates the spot where all his savings are secreted.”
“You have not deciphered it yet, have you?”
“No. I want your help; I can make neither heads nor tails of the scrawl, though I sat up all night studying it.”
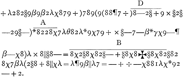
“Come along,” said I, “I wish you joy of your treasure. I’ll read the cypher if you give me time.” So we sat down together at my desk, with the slip of paper before us. Here is the inscription: —

“Now,” said I, “the order of precedence among the letters, according to the frequency of their recurrence, is this, e a o i t d h n r s u y c f g l m w b k p q x z. This, however, is their order, according to the number of words begun by each respectively, s c p a d i f b l b t, etc. The most frequent compounds are th, ng, ee, ll, mm, tt, dd, nn. Pray, Matthew, do you see any one sign repeated oftener than the others in this cryptograph?”
“Yes, 8; it is repeated twenty-three times,” said Fletcher, after a pause.
“Then you may be perfectly satisfied that it stands for e, which is used far oftener than any other letter in English. Next, look along the lines and see what letters most frequently accompany it.”
“2 § undoubtedly; it follows 8 in several places, and precedes it in others. In the third line we have 2 § 8 – 82 § – § 8 – 8 § 8 and then 2 § 8 again.”
“Then we may fairly assume that 2 § 8 stands for the.”
“The, to be sure,” burst forth Fletcher. “Now the next word will be money. No! it can’t be, the e will not suit; perhaps it is treasure, gold, hoard, store.”
“Wait a little bit,” I interposed. “Now look what letters are doubled.”
“88 and 22,” said my friend Mat.
“And please observe,” I continued, “that where I draw a line and write A you have e, then double t, then e again. Probably this is the middle of a word, and as we have already supposed 2 to stand for t, we have – ette – , a very likely combination. We may be sure of the t now. Near the end of the third line, there is a remarkable passage, in which the three letters we know recur continually. Let us write it out, leaving blanks for the letters we do not know, and placing the ascertained letters instead of their symbols. Then it stands – eχtheχeth – heχeheχ ethe – . Now here I have a χ repeated four times, and from its position it must be a consonant. I will put in its place one consonant after another. You see r is the only one which turns the letters into words. —erthereth – here. here the —surely some of these should stand out distinctly separated —er there th – here. here the. Look! I can see at once what letters are wanting; th — between there and here must be than, and then ✠ here is, must be, where. So now I have found these letters,
8 = e, r = t, § = h, χ = r, – = a, + = n, ✠ = w,and I can confirm the χ as r by taking the portion marked A– etter. Here we get an end of an adjective in the comparative degree; I think it must be better.”
“Let us next take a group of cyphers higher up; I will pencil over it D. I take this group because it contains some of the letters which we have settled – eathn. Eath must be the end of a word, for none begins with athn, thn, or hn. Now what letter will suit eath? Possibly h, probably d.”
“Yes,” exclaimed Fletcher, “Death, to be sure. I can guess it all: ‘Death is approaching, and I feel that a solemn duty devolves upon me, namely, that of acquainting Matthew Fletcher, my heir, with the spot where I have hidden my savings.’ Go on, go on.”
“All in good time, friend,” I laughed. “You observe we can confirm our guess as to the sign) being used for d, by comparing the passage – 29§ – )*8228χ, which we now read, t. had better. But t. had better is awkward; you cannot make 9 into o; ‘to had,’ would be no sense.”
“Of course not,” burst forth Fletcher. “Don’t you see it all? I had better let my excellent nephew know where I have deposited – ”
“Wait a bit,” interrupted I; “you are right, I believe. I is the signification of 9. Let us begin the whole cryptograph now: —N.tethi.i.t.re.ind.e.”
“Remind me!” cried Fletcher.
“You have it again,” said I. “Now we obtain an additional letter besides m, for t. remind me is certainly to remind me. We must begin again: —Note thi.i. to remind me.”
“This is,” called out my excited friend, whose eyes were sparkling with delight and expectation. “Go on; you are a trump!”
“These, then, are our additional letters: – ) = d, 7 = m, β = s, 9 = i, λ = o. To remind me i.i. ee. m. death ni.h; for m. death, I read my death, and i. i. ee., I guess to be, if I feel. So it stands thus: – ‘Note. – This is to remind me, if I feel my death nigh, that I had better – ’”
I worked on now in silence; Fletcher, leaning his chin on his hands, sat opposite, staring into my face with breathless anxiety. Presently I exclaimed:
“Halves, Mat! I think you said halves!”
“I – I – I – I – my very dear fellow, I – ”
“A very excellent man was your uncle; a most exemplary – ”
“All right, I know that,” said Fletcher, cutting me short. “Do read the paper; I have a spade and pick on my library table, all ready for work the moment I know where to begin.”
“But, really, he was a man in a thousand, a man of such discretion, such foresight, so much – ”
Down came Fletcher’s hand on the desk.
“Do go on!” he cried; and I could see that he was swearing internally; he would have sworn ore rotundo, only that it would have been uncivil, and decidedly improper.



