
Полная версия:
Крымские курганы и пирамиды – тайны применения
Высота Царского кургана в момент раскопок составляла 17 м, окружность – около 250 м (рис. 4). Камера расположена в центре кургана. С юга на север, со стороны моря, в нее ведет каменный дромос длиной в 36 м и шириной в 2,8 м. Он сложен насухо из рустованных квадров местного известняка, подобного тому, который и сейчас добывается в расположенных вблизи знаменитых Аджимушкайских каменоломнях. Рустованные квадры имеют гладко отесанную по краям полосу и далеко выступающую, грубо обработанную среднюю часть. Такая обработка лишала многочисленные ряды кладок дромоса скучного однообразия, придавала им рельефность и усиливала монументальность сооружения. По мере приближения к камере, стены дромоса постепенно повышаются, а около середины длины его начинается перекрывающий его уступчатый свод, замкнутый на высоте 7,14 м от земляного пола дромоса. Так, на протяжении 20 м дромос представляет собой коридор, на семи рядах вертикальных стен которого лежат одиннадцать нависающих рядов свода. Вблизи камеры дромос также слегка расширяется, и этим усиливается нарастающее ощущение грандиозности, еще более увеличивающееся при входе в камеру. В камеру пройти легко, так как уровень ее пола одинаков с уровнем пола дромоса. Она почти квадратной формы и не слишком большая (4,40 м х 4,24 м), но поразителен ее уходящий вверх конический свод. Архитектором искусно решен переход от квадратной камеры к круглому куполу. Весь купол состоит из двенадцати таких концентрических уменьшающегося диаметра выступающих колец, а на высоте 8,73 м от пола он перекрыт гладкой плитой.
2.2. Состав технического устройства под названием «Курган – как резонансное устройство»
Состав технического устройства кургана по Яшкардину [25]
1.Антенны
Антенны представлены двумя массивными каменными параллельными штырями, похожими на камертон или полуволновой диполь. Длина антенн кратна 1/8 длины волны в грунте, хотя в радиотехническом диполе обычно используют два штыря 1/4 длины волны.
Возможно, уменьшение резонансной длины антенны (1/8 вместо 1/4), связано с её камертонным видом, в виде двойной вилки. Так как скорость звука в грунте лежит в пределах 1500 – 6000 м/с, то длину антенн рассчитывают от параметров грунта в данной местности. Яшкардин использовал значение скорости звука в грунте 3528 м/с для того, чтобы получить резонансное значение частоты в 12.25Гц. Тогда длина антенны составит 3528/12.25/8=36 метров.
Дополнение автора А. Матанцева. Выбранное значение скорости звука в грунте (известняке) в 3528 связано с необходимостью получения частоты в 12,25 Гц, которая является одной из главных в пирамиде Хеопса. На самом деле, скорость звука может изменяться в известняке в очень широком диапазоне. Поэтому возможны другие варианты:
– если скорость звука будет равна 2255 м/с, то резонансная частота при длине антенны в 36 метров составит 7,83 Гц, а это главная резонанс Шумана;
– если скорость звука составит 4060,8 м/с, то резонансная частота при длине антенны в 36 метров будет равна 14,1 Гц, а это второй резонанс Шумана;
– если скорость звука составит 3962,88 Гц, то резонансная частота при длине антенны в 36 метров составит 13,76 Гц, моды (умножаем на 2 каждый раз): 27,525 Гц, 55,05 Гц, 110,1 Гц, 220,2 Гц и 440,4 Гц – а последняя частота считается главной жизненной частотой. Таким образом, не зная свойства используемых твердых материалов в антенне, невозможно точно определить резонансные частоты.
Точно можно только сказать про воздушные резонансные полости, так как в них скорость звука меняется очень мало – от температуры и давления.
2. Согласующее устройство.
Для того чтобы энергия, принятая антенной не отражалась обратно в грунт, а полностью поступала в усилитель необходимо согласовать сопротивление антенны и усилителя. Эти устройства могут быть различны, наиболее простое это вдавленная щель (коридор – дромос) ограничивающий пространство для распространения волновой энергии между устройствами.
3. Резонансный усилитель.
Это пассивный усилитель, так как нет энергетического потока для его питания. Принцип усиления амплитуды сигнала основан на возможности фокусирования звуковой волны. То есть усилитель, по сути, является фокусирующей линзой для звука. Поэтому усилители имеют полусферическую форму (купольную). Энергия, собранная со всей поверхности купола, фокусируется в заданной точке, за счёт этого амплитуда сигнала в фокусе значительно возрастает.
Дополнение автора А. Матанцева. Пассивное усиление звука только за счет формы возможно в разных конструкциях с уменьшающимся сечением кверху:
– в пирамидальной форме с несколькими гранями;
– в сферической форме с вершиной, установленной кверху;
– в конусообразной форме;
– в ступенчатой пирамидальной форме с уменьшением сечения к макушке;
– в сочетании двух форм: снизу прямоугольной или квадратной в сечении, а сверху – конусообразной или сферической;
– в сочетании двух форм: снизу цилиндрической, а сверху конусообразной, или сферической.
4. Вторичный резонатор.
Слушать и различать сигналы частот 9.2—16.35 Гц человеку невозможно. Поэтому их переводят с помощью вторичного нелинейного резонатора в более удобный частотный диапазон. Вторичный резонатор устанавливают в фокусе первичного инфразвукового резонатора. Частота вторичного резонатора должна быть кратна частотам инфразвукового сигнала, то есть быть его высшей гармоникой. Вторичный резонатор должен быть достаточно широкополосным или их должно быть три/семь (по одному на каждую частоту). Чем больше резонатор, тем эффективнее он осуществляет преобразование и усиление сигнала.
5.Полость для настройки резонатора.
После постройки купола, для точной настройки резонансного усилителя на частоту принимаемой волны нужно подстроить объём купола.
Делается это с помощью колодцев или специальных камер (ниш), объём которых можно изменить..
6. Приём модулированных сигналов.
Для приёма нескольких инфразвуковых частот антенну необходимо делать более широкополосной. Для этой цели антенны ступенчато сводятся без использования каменных замков, так как замыкать антенны нельзя. В результате, над антенной или её частью образуется треугольный без замковый профиль – рис. 20.
Рис. 20. Схема профиля антенн для модулированных сигналов [25], аналог – в Царском кургане.
Каждый последующий слой вибраторов делают более коротким.
В результате каменные слой антенны напоминают стопку камертонов уложенных друг на друга. Нижний камертон в такой стопке имеет наименьшую частоту возбуждения, верхний наибольшую. Широкополосный камертон положен непосредственно на дромос (антенну), без промежуточной мембранной плиты. Каждый слой камертона имеет настройку, в виде шашек, которые можно стачивать. Часть слоёв действительно стачивали для настройки камертона на нужную частоту. Вибраторы камертона первоначально были не замкнуты. Но, к сожалению, после реставрации 1865 года дромос достроили сводом, которого там никогда не было. Таким образом, было нарушена возможность функционирования конструкций в качестве антенны и в качестве камертона.
2.3.Способы для расчета резонансных частот в воздушных объемах

Рис. 20. Схема профиля антенн для модулированных сигналов, аналог – в Царском кургане [25]
Рассмотрим различные способы расчета резонансных частот в камерах и подводящих устройствах (дромосах) курганов.
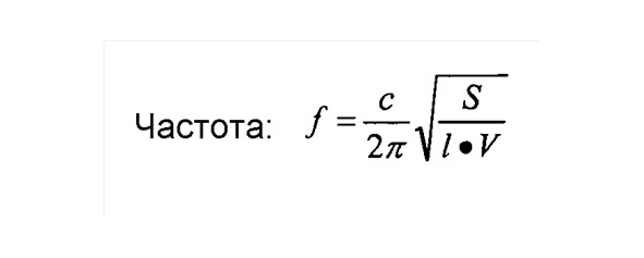
Способ 1. Расчет резонансной частоты на основе резонатора Гельмгольца один из самых точных, так как учитывает все размеры воздушных резонансных объемов [57]. Камера кургана является в этом способе основным объемом v, а проем в камеру – горловиной резонатора с сечением S, длиной и шириной в начале проема, а в конце проема Δа, а в начале проема Δb. Формула и представлена на рис. 21.

Рис. 21. К расчету резонансной частоты с объемом Гельмгольца [57]
В общем виде. Резонатор Гельмгольца [63]
Резонансная частота резонатора, зависит от геометрических размеров резонатора в соответствии со следующей формулой:

Где S – площадь поперечного сечения горловинной секции резонатора
V – объем резонатора,
l – эффективная длина горловинной секции резонатора, которая основана на геометрической длине горловины, и
С – скорость звука.
С учетом приведенной выше формулы можно посредством изменения геометрических параметров S, l и V настраивать частоту резонатора на частоту акустических волн. Кроме того, скорость звука, присутствующая в формуле для частоты резонатора, зависит от температуры. Поэтому, наряду с геометрическими размерами, следует учитывать также температуру. Зависимость от температуры скорости света определяется следующей формулой:

где
k – адиабатический индекс,
R – молярная газовая постоянная,
Т – температура газового потока и
М – молярная масса в кг/моль.
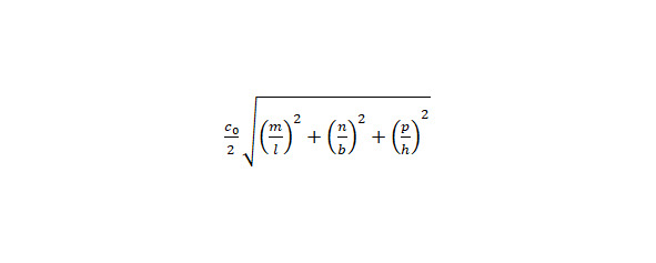
Прямоугольный объемный резонатор
ω = 1/√μaεa {(πm/a) 2 + (πn/b) 2 + (πp/c) 2} 1/2
f = C0/2 {(πm/a) 2 + (πn/b) 2 + (πp/c) 2} 1/2
Объем камеры может иметь другой вид, как показано на рис. 22.

Рис. 22. Расчет камеры в виде усеченной пирамиды [51]
Способ 2. Расчет резонансов в объеме с прямоугольным сечением или в параллелепипеде. Расчет резонансных частот в параллелепипеде один из самых известных, так как именно так находят резонансы в помещениях [58].
Формула для длины волны
λ = 2/ {(m/a) 2 + (n/b) 2 + (p/l) 2} 1/2 (1)
λ = c/f
Формула для резонансов по частоте f
или f = С0/2 ∙ {(m/a) 2 + (n/b) 2 + (p/h) 2} 1/2 (2)

Где a, b, h – размеры параллелепипеда
m, n, p – целые числа, равные 0, 1, 2, 3…
Возможны самые низкие частоты при модах: Н110, Н101, Н011. Но может быть основная Н111 и более высокие Н222 и т. д.
Если в формуле (2) целые числа n = 0, p = 0, то получается частный случай Н100 для резонанса, определяемого по длине камеры а.
f = Со/2а (3)
Если в формуле (2) целое число p = 0, то получается частный случай Н110 для резонанса, определяемого по длине камеры а и ширине b.
f = С0/2 ∙ {(m/a) 2 + (n/b) 2} 1/2 (4)
По формулам (2), (3), (4) можно рассчитать резонансные частоты камеры типа параллелепипеда и её можно использовать еще и в дольмене. Следует отметить, что как в пирамидах, так и в камерах курганов часто имеется несколько ступенчатых объемов, для них также можно использовать указанные формулы.
Во всех формулах будет использовано рекомендуемое по справочникам значение скорости звука в воздухе, равное 343 м/с (для 20 градусов). На самом деле, скорость звука в воздухе зависит от температуры и высоты над уровнем моря, что показано в табл. 1 и табл. 2. С высотой скорость звука уменьшается. Это связано в первую очередь с изменением атмосферного давления.
Табл.1. Средние значения скорости звука в воздухе в зависимости от высоты

Табл. 2. Среднее значение скорости звука в зависимости от температуры

Способ 3. Оценочное значение резонансной частоты по максимальному линейному размеру или по максимальному диаметру
В акустике помещений существует, так называемая, универсальная формула [59]:
f = 343/L (5)
где:
340 – скорость звука (м/с.);
f – значение частоты (Гц);
L – линейный размер камеры/длина волны (м).
Значение основной резонансной частоты для известного линейного размера комнаты. Для этого представляем формулу в следующем виде: f = 343/2L (6)
где:
L – известное значение линейного размера камеры (м).
Следует обратить внимание, что в данном случае берётся значение не «L», а «2L». Это связано с тем, что звуковая волна, формирующая резонансный режим, «бьётся» между двумя параллельными стенами. То есть, в анализируемом линейном размере комнаты укладывается только половина длины звуковой волны, а значение длины соответствующей звуковой волны равно удвоенному значению известного линейного размера (2L).
Аналогична формула для оценки частоты сферической или близкой к сферической камеры с диаметром основания d
f = 343/2d (7)
Если применен пористый абсорбер по принципу звукопоглощения, представляющий собой четвертьволновой фильтр, то, соответственно, и формула для этого расчёта будет иметь следующий вид:
f = 343/4L (8)
Способ 4. Резонансы в воздухе вблизи круглых поверхностей
Резонансы возможны в воздухе вблизи круглых поверхностей, например, внутри каменного кольца или же внутри цилиндрической поверхности. При этом наступает резонанс тогда, когда по длине окружности в точности укладывается несколько волн.
Резонанс находится по формуле:
f = nСо/Lвн = nСо/2πRвн (9)
где Lвн – длина целых длин волн, располагаемых в воздухе у внутренней поверхности, здесь берется скорость звука в воздухе;
Rвн – внутренний диаметр круглого кольца или цилиндрической поверхности
Способ 5. Резонансная камера в виде трубы или цилиндра
Резонансная труба [62]
– Если края трубы открыты, то резонанс наступает, если длина волны λ соответствует следующим условиям:
L = n λ/2, где n= 1,2,3,4…., где L – длина трубы
λ = v/f, откуда, f = nv/2L (10)
– У трубы, закрытой с одной стороны:
L = n λ/4, где n= 1,3,5,7…., где L – длина трубы
λ = v/f, откуда, f = nv/4L
3.Более точно, с учетом диаметра трубы, открытая труба
L +0,8d = n λ/2, где n= 1,2,3,4…., где L – длина трубы, d – диаметр трубы
λ = v/f, откуда, f = nv/2 (L +0,8d) (11)
4.Закрытая труба (с одной стороны), с учетом диаметра
L +0,4d = n λ/4, где n= 1,3,5,7…., где L – длина трубы, d – диаметр трубы
λ = v/f, откуда, f = nv/4 (L +0,4d) (12)
2.4. Сравнение с пирамидой Хеопса
Размер длинной стороны помещения в пирамиде Хеопса выдержан очень точно и равен 14 м, что соответствует половине длины звуковой волны в воздухе на частоте 12.25Гц [25]. Эта частота получается из формулы (6). При этом скорость звука в воздухе в расчётах, принята 343 м/с, что соответствует из табл. 2 температуре +20°С.
Инфразвук, излучаемый пирамидой, будет хорошо слышен в центре Земли, поэтому есть вероятность, что пирамиды были построены для воздействия на Землю.

Рис. 23. Резонаторная камера генератора несущей частоты в пирамиде Хеопса [25]
Поэтому, древние изображение пирамиды с глазом, показывали реальное назначение пирамид, как органов чувств планет.
На рис. 23 показана резонаторная камера на шесть частот (Камера царицы пирамиды Хеопса).
Этот рисунок приведен потому, что он так похож на некоторые части камер курганов! В центре рисунка находится проем с шестью ступенями, каждая из которых соответствует определенной частоте. Чем меньше расстояние между ступенями проема, тем выше частота.
Эта камера является управляемым резонатором инфразвука на шести частотах. Камера имеет ступенчатую нишу, которая позволяет камере работать на нескольких частотах. По этим размерам определяется набор из шести модулирующих частот.
Седьмая центральная частота (несущая) 12.25 Гц вырабатывается резонансным усилителем с помощью резонатора (саркофага). Несущая частота всегда присутствовала в тональном наборе частот, передаваемых пирамидой.
В смесители из этих частот и несущей частоты вырабатывается тональный набор частот. Полученные таким образом частоты подаются на подземный вибратор.
Здесь используются полуволновые размеры ступенчатых элементов, и нелинейное преобразование сигналов в виде ступеньки в коридоре. Эта ступенька могла создавать высшие гармоники, которые обратно отражались в камеру царицы. В полу камеры имеется регулировочный колодец, который может менять резонанс камеры за счет изменения объёма.
2.5. Расчет резонансных частот в воздушных резонаторах Царского кургана
При расчетах учитывались следующие размеры Царского кургана до перестройки: высота кургана – 17 м,
диаметр кургана – 80 метров,
длина окружности кургана – 260 м,
дромос (входная часть) – длина 36 м, ширина у входа – 2,9 м, ширина в середине – 2,59 м, ширина у камеры – 2,7 м;

Рис. 24. Вид Царского кургана в 1848 году. Рисунок А. Ш. Ашика [5]
дромос сверху сужается и имеет высоту – 7,5 м,
дромос открыт на длине 16 м,
камера 4,39 х 4,24 м,
высота камеры – 8,84 м, форма до 8 слоя – прямоугольная (параллелепипед), а от 9 слоя до 22 слоя – конусообразная со ступеньками в виде кругов из известняка или камня,
вход в камеру или проем ранее имел ширину 2 м,
толщина проема в камеру, по одним данным – 0,69 м, по другим 1,1 м.
Расчет 1. По способу 1 в гл. 2.1.2 определения частоты резонансной камеры Гельмгольца с выводным каналом. Формула показана на рис. 22.

Рис. 25. Различные виды резонансных камер с выводным окном
Формула для вычисления частоты резонансной камеры Гельмгольца с выводным окном можно представить так
f1 = nC0/2π √ S/ [v (L + a + в)] (13)
где С0 – скорость звука в воздухе,
v- общий внутренний объем камеры,
S – площадь сечения выводного окна – проема,
L – длина выводного окна,
а – диаметр выводного окна на выходе, или же ширина выводного окна на выходе,
в – диаметр выводного окна на входе или же ширина выводного окна у входа,
n – целое число, 1,2,3…, обычно n=1
Расчет велся по чертежу камеры на рис. 26. Внутренний объем состоит из двух частей. Нижняя часть имеет вид параллелепипеда, а верхняя – конусообразная со ступенями.
Нижняя часть имеет 9 каменных рядов с одинаковым внутренним диаметром, а верхняя конусообразная часть имеет 12 каменных кольцеобразных рядов с уменьшающимся диаметром от низа к верху.
Переход от конструкции в нижней части с прямоугольным сечением к верхней, конусообразной с круглым сечением, является интересным конструктивным решением.

Рис. 26. Царский курган. Реконструкция камеры. 1 – вход в камеру, 2 – угловая конструкция, 3 – разрез камеры [41]
Результат зависит от точности геометрических размеров. Камера и дромос неоднократно перестраивались, поэтому истинные размеры узнать проблематично. В такой ситуации брались для расчетов разные значения. В результате, резонансная частота f1 укладывается в диапазоне от 7.76 Гц до 7,9 Гц.
Среднее значение составляет f1 = 7,83 Гц. Этот результат впечатляет!! Получилась резонансная частота, равная главному первому резонансу Шумана. Резонансы Шумана формируются за счет огибания волн между ионосферой и поверхностью Земли. Далее будет рассмотрена физическая сущность этого явления.
Расчет 2 по способу 2 в гл. 2.1.2.
Нижняя часть камеры представляет собой параллелепипед высотой h без крышки. Формулу (2) для резонансов в параллелепипеде можно представить так:
в
a Рис. 27. Нижняя часть камеры, вид в
разрезе
f2 = C0/2 √ [(n/a) 2 + (m/в) 2 + (p/h) 2] (2)
где а,в, h – линейные внутренние размеры параллелепипеда, n, m, p – целые числа: 0,1,2…. Так как крышки нет, то р = 0, резонансные частоты для, а= 4,39 м, в= 4,24 м, составляют: 39,07 Гц; 40,45 Гц, 56,23 Гц
Частота 39,07 совпадает с шестым резонансом Шумана.
Мода: 40,45/2 = 20,23 Гц – близка к третьему резонансу Шумана!
Становится понятным, почему нижняя часть камеры имеет не квадратное, а прямоугольное сечение. При этом достигаются две резонансные частоты Шумана.
Теперь рассмотрим третью резонансную частоту 56,23 Гц и её моды (умножаем на 2): 112,46 Гц, 224,92 Гц, 449,8 Гц. Если учесть точность размеров камеры, особенно высоты (необходимо учесть высоту пола), то при погрешности в 2% это значение близко к 440,4 Гц (4 октава), а это основная жизненная частота планеты Земля!
Таким образом, получается, что все три размера камеры в Царском кургане связаны с важнейшими частотами. Более конкретное это влияние будет рассмотрено далее.
Расчет по способу 4 в главе 2.1.2.
Возможные резонансы в воздухе на внутренней поверхности каменных колец, составляющих купол.
f = nСо/Lвн = nСо/2πRвн (9)
Табл. 3. Резонансные частоты на поверхности колец купола в воздухе

Примечание *. Выделены частоты, совпадающие или близкие к резонансам Шумана
Примечание **. Выделена частота, 5 октава от которой близка к 440,4 Гц, это жизненно важный резонанс планеты
Всего в куполе имеется 5 резонансов, близких к резонансу Шумана и октавная частота для резонанса 440,4 Гц.
Расчеты воздушных резонансов в камере Царского кургана привели к очень интересным выводам:
– весь объем имеет основной резонанс в 7,83 Гц, совпадающий с главным резонансом Шумана;
– нижняя часть камеры сделана похожей на помещение типа параллелепипеда без крышки, три размера этой части: ширина, длина и высота выбраны не случайно, они позволяют резонировать на частотах, близких к третьему (20,3 Гц) и шестому (39 Гц) резонансу Шумана,
– октавная частота (4 октава) от резонанса в нижней части камеры близка к жизненно важной частоте 440,4 Гц:
– резонансы на воздухе на внутренней поверхности каменных колец купола дают дополнительные резонансы, близкие ко второму (14,1 Гц), третьему (20,3 Гц), четвертому (26,4 Гц) и пятому (32,4 Гц) резонансам Шумана:
– частота 5 октавы близка к заветной частоте 440,4 Гц.
Таким образом, конструкция камеры Царского кургана просто уникальна!!! Она позволяет резонировать на шести главных резонансах Шумана и на жизненно важной частоте 440,4 Гц (5 октава).
Так как во всех этих расчетах для резонансов воздухе бралось известной значение скорости звука в воздухе, равное 343 м/с (при 20ºС), то никакой подгонки результатов не может быть. Все очень четко.
Конечно, читатель может задать логичный вопрос: а каким образом можно возбудить столько резонансов? Каково первичное воздействие на воздушные объемы, приводящие к резонансным процессам. В главе 2.5. Будет рассмотрена физика процесса. Скажу заранее, что спектр сейсмического сигнала, содержащий частоты от 1 Гц до 100 Гц и спектр частот Шумана – вот два главных источника возбуждения резонансов. Большая амплитуда воздействующих сигналов обеспечивается размещением мегалитических сооружений в местах тектонических разломов. Воздействие звукового сигнала от пирамид Гизы ограничено дальностью распространения. Звуковой сигнал в диапазоне рассматриваемых частот может хорошо распространяться в воде. Однако, как будет показано далее, для прямого воздействия звуковой частоты 12,25 Гц от пирамиды Хеопса до Крымских курганы мешает расположение больших островов. Если же рассматривать возможное возникновение на кварцесодержащих материалах ультразвуковых сигналов, то они также распространятся в пределах видимости. Другое дело, сопровождающие электромагнитные волны, они могут пройти над островами. Однако их амплитуда и мощность могут быть недостаточными для прямого воздействия. Это как в телевидении и радиовещании, электромагнитные волны необходимо усилить по амплитуде в сотни и тысячи раз для того, чтобы они произвели какое-то действие. Есть ли такие устройства усиления? В пирамидах, как показывают ученые [25] они когда-то были, а в камерах курганов их никогда не было. Вернее, в камерах курганов есть пассивные усилители звукового сигнала, но величина усиления не превышает десятков.



