
Полная версия:
Древние пирамиды – ключ к познанию мироздания. Том 2. Применение
– Комплекс пирамид – это устройство, разработанное с учётом влияния неких, не участвующих в суточном вращении Земли физических процессов.
– Географические координаты для строительства комплекса выбраны не случайно, а именно являются существенным условием выполнения основной технической задачи.
Получается, что некую внешнюю по отношению к вращающейся Земле силу, действующую вдоль фиксированной линии проходящей через центр масс Земли и пересекающей земную поверхность на широте Гизы, можно считать причиной возникновения тех самых деформаций земной коры, которые и фиксируются комплексом-георадаром. Вследствие суточного вращения Земли, рассматриваемые механические деформации должны распространяться в толще литосферы в виде бегущей волны, максимум которой постоянно находится на линии действия силы. Именно так выглядит процесс образования приливной волны в литосфере вследствие гравитационного взаимодействия Земли с массивным небесным телом. Скорее всего, начальное проявление приливного эффекта выражалось в виде распространяющейся широким фронтом сверхнизкочастотной акустической волны, которая и являлась первичным источником акустической энергии, аккумулируемой пирамидой Хуфу.
Воздействие какого же небесного тела регистрировалось этим акустическим интерферометром? Несомненно, основными претендентами на указанную роль являются Луна и Солнце. Влияние других космических объектов учитывать не целесообразно, поскольку в виду удалённости и малости эффект от их взаимодействия с Землёй, с точки зрения рассматриваемых эффектов, будет совершенно ничтожен. Луна здесь выглядит явным фаворитом. И не только потому, что её гравитационное влияние на Землю более ощутимо. Есть и другие аргументы в пользу «небесной соседки».
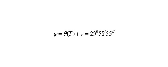
По условию задачи, линия максимума гравитационного взаимодействия должна пересекать земную поверхность на широте пирамид, одновременно располагаясь в плоскости орбиты взаимодействующих тел (в данном случае Луны) (Рис.9).
Данное условие может быть реализовано в случае выполнения равенства:
,(3)

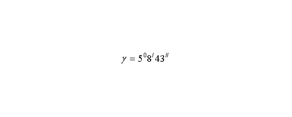
где: – географическая широта комплекса Гиза (примем координаты пирамиды Хуфу);

– угол наклона орбиты Луны к плоскости эклиптики;

– угол наклона земного экватора к плоскости эклиптики.

Иными словами, один раз в сутки комплекс пирамид будет попадать на линию максимума действия гравитационных сил, находящуюся в плоскости орбиты Луны. То есть, с точки зрения наблюдателя, находящегося вблизи пирамид, в определённый момент времени Луна будет находиться точно в зените, перемещаясь по небосклону строго в направлении «восток-запад». Правда, такая идеальная картина будет сохраняться весьма недолго в виду перемещения Луны по собственной орбите, а также прецессионного движения самой лунной орбиты. Уже на начало следующего сидерического месяца точность совпадения будет меньше. А абсолютно точного совпадения можно ожидать только через ~ 18,6 лет, когда полностью завершится прецессионный цикл лунной орбиты.
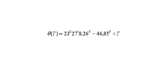
Интересующее нас условие выполнялось в другой исторический момент. И этот момент легко вычислить, если вспомнить про существование такого астрономического явления как прецессия земной оси. В рассматриваемом случае явление прецессии земной оси представляет интерес не самим фактом циклического изменения координат вектора угловой скорости, а наличием вековой составляющей этого движения, проявляющейся в медленном изменении угла наклона земной оси к плоскости эклиптики, приводящей к спиральному виду прецессионной траектории по отношению к неподвижным звёздам.
Уравнение вековой составляющей прецессионного движения имеет следующий вид:
,(4)

где: – столетние периоды, начиная с 1900 г.

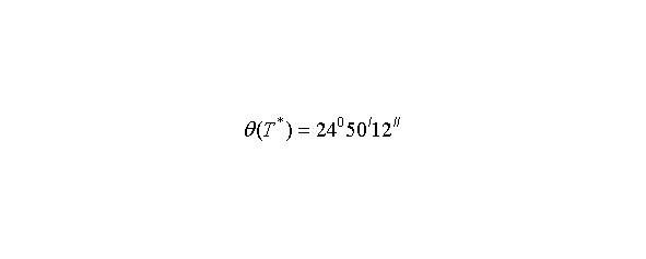
Воспользовавшись (3) и (4) можно рассчитать требуемую угловую величину а также соответствующий исторический момент, когда условие (3) действительно имело место. Для упрощения расчёта наклон плоскости орбиты Луны к плоскости эклиптики примем неизменным и равным. В результате получим:




г. до н.э.

Полученный результат достаточно показателен, и означает, что пирамидам Гизы более 10,5 тысяч лет! Полученное значение хорошо согласуется с данными, опубликованными некоторыми независимыми исследователями, проводившими расчёты на основании собственных методов оценки. Хотелось бы подчеркнуть, что приведённая оценка возраста пирамид получена на основании «лунной» гипотезы.
Итак, допустим, что комплекс Гиза – акустический интерферометр, предназначенный для регистрации периодических литосферных возмущений, источником которых является Луна. Однако, совершенно бессмысленно на протяжении многих циклов регистрировать проявления одного и того же, хорошо прогнозируемого физического процесса. Единожды определённые характеристики приливной волны, с точки зрения повторной регистрации не представляют никакого практического интереса. Но ситуация меняется принципиально, если ввести предположение о присутствии некой сторонней силы как источника возмущений, модулирующих исходную волну. Если представить, что Луна не просто жёстко «висит» на своей орбите, но и совершает колебания вдоль линии гравитационного взаимодействия с Землёй, то всё встаёт на свои места и приобретает законченный смысл. В этом случае становится понятным главное назначение комплекса, которое как раз и заключается в регистрации этой модулирующей компоненты. Остаётся сделать последний логический шаг, а именно назвать причину внешних возмущений. Если исключить из рассмотрения влияние хорошо прогнозируемых небесной механикой явлений циклического характера, останется только один претендент, и имя ему – гравитационная волна. Пожалуй, только гравитационная волна, рождённая где-то в далёком космосе, могла бы «качнуть» систему «Земля-Луна» подобным образом. Получается, что древние строители пирамид не только знали о существовании гравитационных волн, но и умели регистрировать их влияние.
Подведём итоги. Пёстрая картина под названием «назначение пирамид», составленная автором в результате синтеза, анализа и переосмысления известных и малоизвестных фактов, приобрела некий целостный вид. Не легко далось распутывание клубка вложенных технических решений: акустический георадар приливная деформация литосферы гравитационная волна.


Пирамида как гигантский календарь из камня [60]
По мнению О. Длужневской, кандидата физико-математических наук, находящаяся в Мексике пирамида Кукулькана могла использоваться в качестве календаря. С четырех сторон этой конструкции находятся лестничные проемы с 91-й ступенькой (год по календарю майя – 364 дня) и 18 пролетами (количество месяцев). В дни равноденствия можно наблюдать необычный зрительный эффект. Солнечные лучи в момент попадания на ступеньки образуют нечто, напоминающее гигантскую змею. Тело ее простирается до самого верха пирамиды, а голова находится внизу лестницы. Как будто она медленно скользит к людям. Такой эффект достигается благодаря точному расположению по отношению к сторонам света.
Пирамида как преобразователь отрицательной энергии в положительную [60]
Пирамиды являются мощными генераторами энергии. Согласно этой гипотезе, пирамиды могут преобразовывать отрицательную энергию в положительную. В пирамиде Хеопса, по некоторым предположениям, энергия накапливается в том месте, где расположен саркофаг.
По мнению русского инженера Александра Голода, который занимается строительством так называемых энергетических пирамид, они оказывают, кроме всего, положительное влияние на людей и приводят окружающее пространство в состояние гармонии.
Пирамида как обсерватория [60, 79]
В последние годы ученые все больше склоняются к тому, что древние пирамиды являются гигантскими научными лабораториями-обсерваториями. В пользу этой гипотезы свидетельствует астрономическая направленность конструкций: север—юг (к оси вращения планеты). Поражает невероятная точность в плане ориентации с погрешностью до трех минут дуги. Сегодня погрешность в три минуты незаметна для наблюдателя. Даже с использованием современных приборов достаточно трудно добиться такой точности.
О Великой пирамиде в роли обсерватории упоминали и арабские историки. Об этом рассказывает специалист по египтологии Николай Данилов. Но в течение долгого времени ученые не могли определиться, каким образом пирамиды использовались в этом качестве. обсерватории. К версии о том, что древние пирамиды являлись обсерваториями указывает «астрономическая ориентация» пирамид: на закат Солнца в период летнего солнцестояния, и на восход – во время зимнего солнцестояния.
Ответ нашел английский астроном Ричард Проктор, изучая работы древнегреческого философа Прокла. Там отмечалось, что Великая пирамида использовалась как обсерватория, когда была достроена до уровня Большой галереи, которая выходила на квадратную площадку. Современных исследователей озадачивает один факт: почему восходящий туннель Великой пирамиды внезапно сменяется галереей, чья высота превышает 8 метров? Проктор объясняет это удобством для наблюдения за звездами. «Если бы древний астроном нуждался в большой наблюдательной щели, точно делившейся пополам меридианом через Северный полюс, чтобы наблюдать прохождение небесных тел, что бы он потребовал от архитектора? Очень высокий туннель с вертикальными стенами», – заключает исследователь
Применение пирамиды для телепортации [71]
По своему назначению пирамида, – это генератор высоковольтных, наносекундных импульсов. Она работает на частоте генерации кварца (ориентировочно 11 ГГц).
Её основное назначение: создание искусственных молний (энергии) для
использования в телепортации.
Основные варианты телепортации с использованием пирамид:
– перенос сознания (Души) из дряхлого тела в новое;
– перенос сознания (Души) в другие миры и (или) время;
– перенос человека в пространстве в пределах планеты;
– перенос человека в другие миры и (или) время;
– перенос объектов в пространстве и (или) времени, в том числе
боевых зарядов или энергий.
– перенос ментальных и других психических энергий от модулятора (оператора, мага) на другие сущности (существа) или объекты в том числе на погоду.
Замечание автора, А. Матанцева. Можно согласиться о возможности генерирования пирамидой импульсов на частоте генерации кварца, так как используемые типы гранитов содержат кварц. Однако остальные предположения по переносу сознания и человека – на уровне мистики, а по поводу переноса во времени и пространству требуют дополнительных исследований и еще практически не подтверждены.
Пирамиды в Египте призваны отправлять людей из пирамиды в космос, а Крымские должны принимать из космоса [76]
На Крымском полуострове были найдены пирамиды, обратные тем, которые расположены в Египте. Обратными их называют потому что они находятся не на поверхности Земли, а в её недрах. Каким образом они были погребены под толщей земляных пород пока неизвестно. Но то, что их создание датировано периодом возникновения египетских пирамид – это факт. Крымские пирамиды также загадочны, как и египетские. Изучать их было довольно неудобно, так как они находятся полностью в земной поверхности.
Существует ещё одна гипотеза, совершенно необычная. Она гласит, что пирамиды в Египте призваны были отправлять людей из пирамиды в космос, в другие миры. А пирамиды крымские – должны были принимать космических путешественников.
Стоит отметить, что и сегодня учёные указывают на странную активность внутри пирамид. Попадая на их территорию вся аппаратура резко заряжается, аккумуляторы набирают полный заряд. Начинают происходить странные вещи. Кроме того, что учёные отмечают странный эффект исцеления заболеваний внутри пирамиды, существует эффект открытия третьего глаза.
Однако автор, А. Матанцев, такого мнения что эта версия – на стадии домыслов и не подтверждается фактами.
Пирамида как хранилище знаний [79, 97]
Одна из последних версий функционального предназначения пирамид предполагает, что они возводились как хранилище знаний предшествующих цивилизаций, в которых астрономическая и географическая информация выражена языком геометрии.
Отечественные и зарубежные ученые, среди которых британский математик Джон Легон, проводя многочисленные вычисления длины граней и основания пирамид, их объемов, площадей и даже расстояний между пирамидами обнаруживали строгие закономерности кратности рядов чисел.
В частности, соотношение периметра основания пирамиды Хеопса к ее высоте равно числу 2пи. Опираясь на этот факт, ученые делают вывод, что пирамида служит картографической проекцией в масштабе 1:43200 Северного полушария Земли.
В комплексе пирамид 4-ой династии, языком геометрии рассказывается о математических, астрономических и географических знания древних Египтян (от числа «пи» до диаметра земного шара.
Легон математически доказал, что все три пирамиды Гизе находятся внутри прямоугольника, одна сторона которого составляет в направлении с севера на юг 1732 локтя, а с востока на запад – 1432 локтя. Из этого он сделал вывод, что «базовой» мерой длины было 1000 локтей, а стороны являются произведениями 1000, умноженной на корень из двух, и 1000, умноженной на корень из трех. Поскольку это две стороны прямоугольника, его диагональ равняется тысячи локтям, умноженным на корень из пяти.
Р. Кук утверждал, что система геометрических осей связывает центральную пирамиду, пирамиду Хефрена, с маленькими пирамидами-спутниками, расположенными рядом с первой и третьей пирамидами. При этом «базовыми» углами были 60 и 26,5 градусов. 60 градусов – внутренний угол равнобедренного треугольника, угол же в 26,5 градуса образуют диагонали прямоугольника, состоящего из двух квадратов. Почти тот же самый угол в 26,5 градуса можно обнаружить у главного коридора в Великой пирамиде; двойной же квадрат представляет собой погребальная камера в той же пирамиде.
Таким образом, древние пирамиды можно рассматривать как хранилища математических знаний и понятий.
Пирамида как гробница [79]
Официальной версией в Египте является применение пирамид для гробниц. Это желание современников увековечить имя земного правителя, соорудив для него гробницу. Для этих целей, по версии большинства историков, в египетских пирамидах создавали специальные погребальные камеры, которые обустраивали для посмертной жизни фараона: ему оставляли драгоценности, домашнюю утварь, мебель, оружие. А ложные коридоры и каменные двери, по распространенному мнению, должны были защитить фараона от непрошенных гостей.
Тем не менее, как утверждают археологи, мумии в пирамидах никогда не находили. Захоронения производились в некрополях. Например, мумию Тутанхамона нашли в Долине Царей, Рамзеса II – в скальных гробницах, а мумия Хеопса – «хозяина» самой большой египетской пирамиды так и не была обнаружена.
Пирамида как навигационная станция [79, 89]
Французские исследователи А де Белизал и Л. Шомери высказали необычное предположение, что Великая пирамида Египта выполняла роль навигационной станции или передающей станции. По мнению исследователей, благодаря огромной массе пирамиды и особенностям ее формы, которая представляла собой «ложную вибрационную призму», создавалась возможность для мощных излучений.
Исследования, проведенные французскими специалистами, по их мнению, показали, что излучения могли фиксироваться на очень большом расстоянии с помощью уменьшенной модели такой пирамиды. Это позволяло древним людям без компаса сориентировать маршрут корабля в море или каравана в пустыне.
По одной из самых смелых гипотез, пирамиды Земли могли быть частью космической навигационной системы. После того, как пирамиды были открыты на Марсе и Церере, эта версия уже не кажется невероятной.
Пирамиды – место посадки и заправки космических кораблей [88, 157, 293]
Курт Сет, первый переводчик «Текстов пирамид» идентифицировал камень Бенбен со священными коническими камнями греков и сирийцев, которые имели связь с космосом. В самом деле, в ранних известных изображениях камня Бенбен с сидящим на нем Фениксом, он имеет не пирамидальную форму: его концы слегка округлены, и он больше напоминает конус. Проанализировав приведенные выше тексты, можно сделать вывод, что пирамиды были не чем иным, как космопортом, или местом посадки космических кораблей (в форме тарелок). Сама форма конуса является идеальным местом посадки, с имеющимся в центре тарелки нужной формы углубления и конус является с одной стороны центровкой, с другой позволяет нести огромную нагрузку с распределением к основанию конуса, пирамиды (относительно других геометрических фигур). Из камней значительно проще построить пирамиду, чем конус по прочности. Кроме удобной посадки таких летающих средств (в форме тарелок) решался вопрос безопасности (забраться к вершине было не так проcто). Кроме того, возможно, кроме посадочной платформы, пирамида ещё имела функцию пополнения космолета энергией и функции защиты с помощью установленного в ней оружия. Подтверждающих фактов значительно больше, также должны быть рисунки с космолетом, находящимся на вершине пирамиды. Размер пирамид, видимо, зависел от размера самого летающего аппарата. Как следует из описаний, некоторые из них были летающими городами (Эдем), имеющими растительность и водоёмы, видимо производство продуктов питания в длительных полётах, было решено таким способом (на длительный период тюбиками не запасешься, да и они имеют свойство заканчиваться), а также поменьше размерами, имеющими другие функции «космического флота».
Следует отметить, что водород и кислород может быть топливом для космических кораблей. Вот как указывается в литературе [157]. В середине пирамиды, в царской комнате, находится большой ящик из гранита. Возможно, в нем хранили инопланетное топливо. Так же есть мнение, что в этом помещении происходили различные химические процессы ведь не случайно, эта комната отделана гранитом, а не известняком, ведь гранит гораздо тверже и надежнее. Комната совсем герметична, если не считать два тоннеля, которые ученые полагают вентиляционными шахтами. У тоннелей есть входные отверстия 20 х 20 см, находятся они на стенах на расстоянии 1 м от пола. Совпадение ли, что на такой же высоте находится верхняя часть гранитного ящика. Еще одна странность – стенки тоннелей сделаны из крупных каменных плит, что позволяет предположить, что по ним текла не вода, а нечто иное. Можно сделать вывод, что по тоннелям наверх поступало топливо для заправки кораблей.
В древнем Шумере существовали строения очень странного вида: у них плоские вершины. Уфологи считают [293], что они служили посадочными площадками для космических кораблей пришельцев. Более того, некоторые ученые говорят о том, что Великая пирамида в Египте – вовсе не египетского происхождения. Известно, что первый вариант пирамиды был построен во время расцвета шумерской цивилизации. Несколько раз она перестраивалась. Внутри на стенах нет никаких надписей. Да и в самой пирамиде нет никаких черт египетской архитектуры. Но самое удивительное то, что в шумерских текстах (а шумерская цивилизация гораздо старше египетской) есть упоминания о Великой пирамиде. Так что вполне возможно, что на протяжении веков эта пирамида являлась не чем иным, как базой пришельцев.
Дополнение автора, Александра Матанцева. На рис. 66 показан мексиканский артефакт А83. На нем изображен космический аппарат на макушке пирамиды. Этот артефакт имеет печать правительства, подтверждающий его правильность и натуральность.
Пирамида – радиомаяк определенного диапазона [89]
Выдающийся русский физик Михаил Лобановский одним из первых заявил о том, что форма объекта определяет и его свойства. Он стал родоначальником геометрической физики или физики тел.
Опираясь на теорию Лобановского, современные учёные пришли к заключению, что любая пирамида может служить прекрасным радиомаяком определённого диапазона. Она способна передавать информацию на огромные расстояния.
Пирамиды как фазированные антенные решетки [95]
Архитектура Великой пирамиды напоминает современные фазированные антенные решетки, а ее четыре грани, по всей видимости, служили параболическими отражателями.
Параболические поверхности собирают и фокусируют фоновое излучение, геометрию и инерциальные силы локальных космических систем – информацию, содержащуюся в поле основных галактик и солнечных систем, чтобы затем вся структура генерировала и модулировала импульс к любому возможному приемнику под воздействием этих систем. Эта особенность конструкции подтверждает функцию пирамиды как аналогового компьютера и сдвоенного генератора любого возможного приемника.
Пирамида как генератор отрицательных ионов [16, 84]
Боснийская пирамида Солнца вырабатывает огромное количество отрицательных ионов. Энергетические скрининги показывают уровень ионизации более 43,000 отрицательных ионов. Это примерно в 200 раз выше, чем средняя концентрация, что делает подземные камеры местом с целебными свойствами. Керамические скульптуры были обнаружены над подземными потоками воды, – по версии исследователей – они выставлены таким образом, что отрицательная энергия трансформируется в положительную.
Добавление автора, Александра Матанцева. Формированием отрицательных ионов занимаются многие ученые, так как выявлено их положительное влияние на человека. Создано немало установок для этих целей. Пирамиды не специально формируют отрицательные ионы. Её конструкция обеспечивает эффективную ионизацию воздуха, это главное. Формируемые ионы разделяются в пирамиде. Большая часть положительных ионов скапливается у основания и в середине, а большая часть отрицательных ионов – у вершины. Свойство разделения ионов пирамидой ученые отмечают специально и высказывают возможность его использования для генерирования электроэнергии и для других целей.
Применение беспроводных источников света [17]
Замысловатые рисунки показывают, как древние египтяне использовали то, что выглядит как ручной факел, который освещал не огнем, а был запитан с помощью беспроводного электричества еще тысячи лет назад. Есть мнение исследователей, что древний маяк в Александрии был приведен в действие с помощью «дуговой лампы», и является еще одной важной частью свидетельства о том, как электричество использовалось в Древнем Египте. Естественно электричество требуется для питания устройств на ежедневной основе, что можно было обеспечить с помощью энергетического источника. Именно поэтому, многие люди считают, что Великая пирамида в Гизе, могла быть задействована в далеком прошлом как своего рода гигантская энергетическая машина, используемая для питания многочисленных устройств по всему Египту.
Версия Игоря Ана. Пирамиды как стражи человечества [292]
Большие пирамиды, стоящие практически на всех континентах планеты, несли в себе функцию автоматических сторожевых башен, отслеживающих развитие человечества. Десятки сотен лет, наблюдатели с помощью пирамид передавали информацию о нас и нашем потенциальном заделе на будущее.



