Полная версияСилы тяготения внутри обруча, сферы и между двух точек

Петр Путенихин
Силы тяготения внутри обруча, сферы и между двух точек
1. Притяжение тела внутри обруча
Считается, что тело внутри полой сферы не испытывает сил притяжения с её стороны. Рассмотрим такую же ситуацию в плоской форме – силу притяжения тела внутри полого цилиндра. Более того, будем считать, что высота цилиндра равна нулю. Фактически это круг с круглым отверстием внутри.
Очевидно, что ширина этой круговой полосы также качественно не влияет на результаты вычислений, поэтому будем считать её также равной нулю, то есть, рассмотрим очень тонкий массивный обруч.
Для точного определения сил, действующих на тело внутри обруча, рассмотрим дифференциал массы обруча, массу каждого элементарного, бесконечно малого его участка, которая равна

Определим расстояние r между массой m и дифференциальным элементом


Рис.1.1.Определение силы притяжения тела внутри обруча.
С учетом m = 1, ρ = 1 и вычисленного квадрата радиуса сила притяжения равна

Нас интересует сила, направленная вдоль оси X. Определяем её из соотношения подобных треугольников

Заменим Rx на долю от R0, то есть, Rx = kR0, где, очевидно, k = 0…1

Вычисляем значение силы для каждого значения Rx или значения k. Очевидно, что ни одно из значений силы, кроме k = 0, не равно нулю. При этом значении интеграл упрощается до элементарного

Вероятно, значение силы тем больше, чем ближе Rx к R0. При этом следует ожидать даже бесконечно больших значений при значении k = 1

В точке φ = 0 подынтегральная функция обращается в неопределённость, деление нуля – dφ на ноль. Попробуем разрешить эту неопределённость. Поскольку мы производим численное интегрирование, то эта точка соответствует конечным, компьютерным значениям дифференциала и функции φ = dφ =0, то есть, неопределённость 0/0

Попробуем разрешить неопределённость аналитически. Вблизи этой точки дифференциал dφ и аргумент φ одинаково стремятся к нулю, поэтом обозначим их одной переменной. Найдём предел отношения подынтегральной функции

Известно, что предел отношения функций равен пределу отношения их производных

Повторим процедуру замены функций на их производные

Ранее мы извлекли функцию из-под корня, теперь возвращаем

Казалось бы, при нулевом расстоянии между фрагментом обруча и материальной точкой m сила притяжения должна быть равна бесконечность. Однако мы рассматриваем одновременно с уменьшением дистанции и уменьшение длины этого фрагмента, что и привело к конечному значению неопределённости. Другим объяснением может служить то, что расстояние между объектом m и элементом обруча при стремлении его к нулю фактически заменяется в пределе их слиянием. Теперь это не расстояние между ними, это их общий размер. Иначе говоря, два элемента слились своими центрами, а на тело, находящееся в центре массивного объекта, не действуют никакие силы.
Проверяем решение численным интегрированием (1.3).

Рис.1.2. График изменения силы притяжения пробного тела внутри обруча в зависимости от его удалённости от центра. График приведён полностью
Диапазон изменения сил оказался слишком большим, поэтому график плохо просматривается. Все его значения почти на 95% длины радиусов выглядят нулевыми. Чтобы сжать график до размеров диаграммы, можно использовать логарифм величины. Понятно, что отрицательные значения в начале графика соответствуют его значениям, меньшим единицы.

Рис.1.3. Логарифмический график изменения силы притяжения внутри обруча пробного тела в зависимости от его удалённости от центра
Без логарифма, с частичным отсечением верхних значений график выглядит на всём интервале возрастающим

Рис.1.4. График изменения силы притяжения пробного тела внутри обруча в зависимости от его удалённости от центра. Максимальные значения частично отсечены.
Если ещё больше увеличить масштаб начального интервала, увеличить отсечение сверху, то будет видна практически параболическая или экспоненциальная зависимость

Рис.1.5. График изменения силы притяжения внутри обруча пробного тела в зависимости от его удалённости от центра. Максимальные значения отсечены.
Интеграл силы (1.3) мы формировали исходя из положительного направления силы в сторону центра обруча. Интегрирование и графики показали положительное значение силы. Из этого следует вывод: тело в пустом обруче притягивается к его центру так, будто там находится некий массивный объект.
Главной целью наших исследования сил притяжения в обруче является определение необходимости учёта этих сил при исследовании гравитационных сил в однородном диске, являющемся аналогом дисковой галактики. Наличие такой внутренней силы ведёт к формированию специфических кривых вращения, например, подобных наблюдаемой кривой вращения галактики Млечный Путь [4].
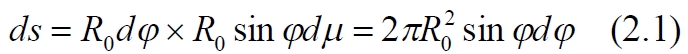
2. Притяжение тела внутри сферы
Вычислим силу притяжения тела массой m = 1, находящегося на удалении Rx от центра сферы радиусом R0. Каждый бесконечно малый, дифференциальный объём dv сферы массой dM притягивает тело m независимо от других её элементов, составляющих

Рис.2.1. Определение дифференциала площади сферы для нахождения силы притяжения пробного тела внутри сферы
На рисунке видно, что две плоскости, одна из которых – плоскость X0Y, вырезают на сфере "апельсиновую дольку" с углом dμ. На её поверхности, на "кожуре" ещё две плоскости с углом между ними dφ вырезают участок площадью ds. Можно заметить, что все "апельсиновые дольки" равны друг другу и не зависят от собственного угла μ, поэтому мы приняли его равным dμ. Поэтому нам достаточно рассмотреть только одну из них и затем умножить на число этих долек. Число долек определяется в свою очередь от их ширины:

Если взять их ширину бесконечно малой, то число этих долек станет равным бесконечности. Однако их суммарная площадь равна, как видим, полному углу

Напротив, другая сторона дифференциальной площади ds зависит от угла φ дважды – непосредственно, по образующей вдоль дольки и через зависимость ортогональной стороны, образованной углом dμ, зависящей также и от угла φ.
Действительно, как видно на рисунке ширина дольки разная, в зависимости от угла φ. Самая широкая её часть находится в плоскости Z0Y, а вблизи плоскости Z0X ширина дольки сводится к нулю. Зависимость эта от угла φ описывается уравнением R0sinφdμ. Таким образом, площадь дифференциального участка сферы описывается уравнением

С учетом принятого выше условия равенства всех дифференциальных "апельсиновых долек" это уравнение приобретает вид

Для удобства дальнейших рассуждений рассмотрим другой рисунок, менее перегруженный линиями. Этот рисунок мы использовали при вычислении сил, действующих на объект внутри обруча. В данном случае мы будем помнить, что площадь дифференциального участка описывается новым уравнением (2.1)

Рис.2.2. Определение расстояния между дифференциалом площади сферы и пробного тела внутри сферы
Дифференциал силы притяжения между пробным телом m и этим элементарным, дифференциальным участком сферы равна

Мы принимаем, что масса участка определяется неизменной поверхностной плотностью сферы. Поскольку мы приняли, что сфера имеет нулевую толщину, то вместо объёма сразу же указываем площадь. Дифференциал площади мы уже определили (2.1), теперь определим расстояние между объектом и этим участком сферы. Как видно на рисунке, оно описывается уравнением

На рисунке видим соотношения между элементами

Дифференциальный объем сферы массой dM притягивает единичную массу m, находящуюся на удалении r с силой

Эта дифференциальная сила раскладывается на две составляющие, из которых нас интересует только центральная dFx, по линии, соединяющей центры сферы и притягиваемого тела. Отношение этих сил равно отношению соответствующих сторон a и r подобного треугольника

Подставляем значение силы и преобразуем

Удобнее представить расстояние объекта m от центра сферы в относительном виде, как долю от радиуса сферы Rx = kR0, где k=0…1. Уравнение силы приобретает вид

Результирующую силу находим интегрированием. Следует пояснить, почему мы выбрали именно такие пределы интегрирования. Дело в том, что всю сферу мы поделили углом μ на "апельсиновые дольки" и результирующую силу находим именно по силам, создаваемым этими дольками. Но, как легко заметить на рисунках, в этом случае другой угол – φ изменяется в пределах от 0 до π.

После перехода к новым обозначениям, обнаруживаем интересное обстоятельство: сила не зависит от радиуса сферы. Зависит от относительного положения тела m, но от радиуса самой сферы – нет. Фактически это означает, что сила притяжения тела одна и та же, каким бы ни был радиус сферы – 100 метров или 100 световых лет. Однако это кажущаяся странность. Мы задали для сферы поверхностную плотность, а она и определяет общую массу сферы, которая однозначно зависит от радиуса сферы. Хотя в маленькой сфере силы создаются её малой массой, а в большой сфере – большой, расстояния также имеют соответствующие величины, это и ведёт к независимости сил от радиуса сферы.
Рассмотрим два граничных случая: тело m находится в центре сферы k = 0 и на её поверхности k = 1. Первый случай

Результат ожидаемый, в центре сферы тело находится в состоянии невесомости. Второй случай

Это табличный интеграл

Результат также ожидаемый: тело на поверхности сферы обязательно будет испытывать силу притяжения.

Рис.2.3. График изменения силы притяжения внутри сферы пробного тела в зависимости от его удалённости от центра
Результат ожидаемый и объяснимый. Этот же график с логарифмической шкалой

Рис.2.4. Логарифмический график изменения силы притяжения внутри сферы пробного тела в зависимости от его удалённости от центра
Интеграл силы (2.3) мы формировали исходя из положительного направления силы в сторону центра сферы. Интегрирование и графики показали положительное значение силы. Из этого следует вывод: тело в пустой сфере притягивается к её центру так, будто там находится некий массивный объект.
Проблема трактовки притяжения тела внутри сферы
В исходном варианте статья начиналась словами "Известно, что тело внутри полой сферы…". Однако в процессе исследований эта часть фразы была заменена на "Считается, что тело внутри полой сферы…". Эта замена связана с обнаруженным противоречием. В результате наших исследований мы пришли к выводу, что тело внутри полой сферы испытывает силу притяжения со стороны этой сферы, хотя, по мнению других авторов, такой силы нет. Вывод об отсутствии силы притяжения внутри сферы достаточно полно изложен, по меньшей мере, в трёх работах [1, 2, 3]. Понятно, что два взаимно исключающих вывода не могут быть верными одновременно. Один из них ошибочен.
Наши выводы опираются на строгое математическое доказательство. По сути, они – строго доказанная математическая теорема. Следовательно, ошибочным является мнение об отсутствии силу внутри сферы. В чём именно состоит ошибка? Рассмотрим, как получен этот ошибочный вывод на примере работы [3]. Заметим, что, по сути, эту работу можно считать если не перепечаткой, то близкой по тексту к более ранним работам [1, 2].
Рассмотрен шар радиусом R, на поверхности которого находится галактика A. Этот шар с галактикой опоясан шаровым слоем толщиной h. Приводится доказательство того, что на галактику A со стороны этого слоя не оказывается никакого гравитационного действия, притяжения. Другими словами, в однородной Вселенной на эту галактику все другие галактики, вне этого шара не оказывают никакого влияния.
Рассматриваются силы притяжения, действующие на галактику A со стороны галактик, расположенных в этом слое в противоположных от неё направлениях, в объёмах элементов слоя V1 и V2. До этого момента рассуждения вполне корректны. Однако уже следующее утверждение является грубой ошибкой. При сравнивании объёмов элементов утверждается, что их угловые площади S1 и S2 и, соответственно, объёмы пропорциональны квадратам расстояний от галактики до поверхности слоя – r1 и r2. Приводится рисунок, на который мы сразу же добавили неравенство сил

Рис.2.5. Копия рисунка из работы [3]
и уравнение к нему

Автор допускает, вообще-то, очевидную небрежность, ошибку – это уравнение неверно. В нём проводится отождествление трёх разных сфер, имеющих радиусы R, r1 и r2. Каждая из площадей, дифференциал площадки, бесконечно малый участок на сфере определяется уравнением

где φ и μ – полярные углы сферического сегмента.
Каждый из этих полярных углов имеет вершину в начале своих собственных полярных координат. Только при этом условии площадь на поверхности сферы определена уравнением (2). В рассмотренном случае (1), эти начала полярных координат разные, поэтому, например, для S1 мы обязаны записать

Считая, что полярные углы φ и μ для всех трёх сфер одинаковы, каждая из площадок, дифференциал площади, например, в (3) это S1, обозначена с "точки зрения" соответствующих сфер: сферы с радиусом R и началом координат в центре этой сферы, и сферы с радиусом r1 и началом координат в точке А. Но эти две площадки S1 и S1R не тождественны, они не равны друг другу, они не слились воедино. Следовательно, площадка S1 не принадлежит сферическому слою и, соответственно, не является элементом объёма V1. Исходному сферическому слою условно принадлежит объём

Условность состоит в том, что это уравнение справедливо для дифференциалов, но не для конечных величин S и V, в случае которых объём V не является прямоугольником – это усечённая пирамида, площадь которой определяется другим уравнением.
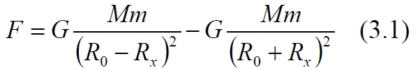
3. Притяжение тела к двум точкам
Заметим, что обруч в наших исследованиях фактически является сечением сферы. Сила притяжения в обоих случаях зависит на местоположение пробного тела. В обоих случаях сила равна нулю в центре и имеет некоторое значение вблизи внешнего объекта – обруча или сферы.
Ещё одним вариантом, очевидно, является следующее сечение – сечение обруча. В этом случае объект разделяется надвое, теперь это просто две точки. Сразу же заметим, что и в этом случае сила притяжения тела, находящегося точно посередине между точками, равна нулю. Также можно предположить, что в случае сближения тела с одной из массивных точек сила притяжения будет возрастать до бесконечности. Чтобы избежать этого, нужно как-то связать объём точки с расстоянием до пробного тела. Принимая за положительное направление силы вправо, к правой массивной точке, в общем случае результирующая сила притяжения тела к этим двум точкам равна

В данном случае мы придаём массам всех участников системы конечные значения. Расстояние между точками задаём равным 2R0. Удалённость тела m от центра между точками обозначим как Rx. Для удобства в уравнении (3.1) заменим значение Rx на его долю от R0, то есть, Rx = kR0, где k = 0…1. Преобразуем уравнение с учетом новых обозначений

Как видим, наше предположение оправдалось: приближение пробного тела к одной из массивных точек ведёт к увеличению силы притяжения до бесконечности. Напротив, нахождение тела в центре, k = 0 сводит силу притяжения к нулю.

Рис.3.1. Логарифмический график изменения силы притяжения пробного тела, находящегося между двумя массивным точками, в зависимости от его удалённости от центра

Рис.3.2. График изменения силы притяжения пробного тела, находящегося между двумя массивным точками, в зависимости от его удалённости от центра
Изначально мы сформулировали уравнение исходя из положительного направления силы в сторону, противоположную от центра системы, в сторону правого массивного тела. Решение уравнения и графики показали положительное значение силы. Это значит, что тело m в рассмотренной системе между двумя массивными точками притягивается к той из них, в нашем случае к правой, к которой оно ближе.
Выводы
Интегралы сил, действующих на пробное тело внутри обруча или пустой, тонкостенной сферы сформированы исходя из положительного направления силы в сторону центра обруча или сферы. Интегрирование и графики изменения сил в зависимости от положения пробного тела показали положительное значение силы. Это означает, что тело в пустой сфере или внутри обруча притягивается к их центрам так, будто там находится некий массивный объект.
Все объекты, находящиеся внутри массивного обруча, испытывают силу притяжения с его стороны. Сила тем больше, чем дальше объект находится от центра обруча. В центре обруча объект находится в состоянии невесомости. На обруче объект испытывает максимальную силу притяжения.
Из этого вывода, в свою очередь, следует, что любая звезду внутри дисковой галактики испытывает силу притяжения не только со стороны звёзд, находящихся на более близком расстоянии к центру диска, но и со стороны всех звёзд "за спиной", то есть, находящихся от центра на большем удалении.
Ошибочным является утверждение, что внутри пустой сферы тело не испытывает сил притяжения с её стороны.
Ошибочным является утверждение, что во Вселенной на силу притяжения галактики, находящейся на поверхности некоторой массивной сферы, не влияют объекты вне этой сферы, не меняют значения силы притяжения галактики к сфере.
Литература
1. Новиков И.Д, Эволюция Вселенной – 2-у изд., перераб. – М.: Наука. Главная редакция физико-математической литературы, 1983, 192 с. 3-е изд. 1990.
2. Новиков И.Д., Как взорвалась Вселенная. – М: Наука. Гл. ред. физ.-мат. лит., 1988. – 176 с. – (Б-чка «Квант», Вып. 68.)
3. Разумов В.Н., Основы современной космологии, презентация, URL: https://uchitelya.com/georgrafiya/113089-prezentaciya-osnovy-sovremennoy-kosmologii.html
4. Путенихин П.В., Силы притяжения, действующие на тело внутри диска, URL: http://samlib.ru/p/putenihin_p_w/dc15.shtml



