
Полная версия:
Матрицы и программирование

Николай Морозов
Матрицы и программирование
Введение
Этой книгой я начинаю курс практических занятий по Линейной алгебре, которые я проводил со студентами университета культуры и искусств в городе Санкт – Петербурге. Параллельно с этим, на порталах «Инфоурок « и «Знание» появились и мои авторские материалы в виде статей, презентаций, рабочих программ и т. д.
1. Основные понятия
Матрицами называются массивы элементов, представленные в виде прямоугольных таблиц, для которых определены правила математических действий.
Элементами матрицы могут являться числа, алгебраические символы или математические функции.
Матрицы широко используются для решения систем алгебраических и дифференциальных уравнений, шифрования сообщений в Интернете и т. д.
Таким образом, матрица обозначается одной из заглавных букв латинского алфавита, например A, а набор ее элементов помещается в круглые скобки:

Формула матрицы
Представленная формулой (1) матрица A имеет m строк и n столбцов и называется m×n матрицей или матрицей размера m×n.
Строки матрицы нумеруются сверху вниз, а столбцы – слева направо (см. рис.1):

Рис.1.
Матричный элемент, расположенный на пересечении i-ой строки и j-го столбца, называется i,j-м элементом и записывается в виде aij, а выражение A = || ai ||j означает, что матрица A составлена из элементов aij. (см. рис.2):

Рис.2.
Матрица (см. рис.2.) размера 1×n называется матрицей-строкой или вектором-строкой.

Рис.3.
Матрица (см. рис.3.) размера n×1 называется матрицей-столбцом или вектором-столбцом.
Для краткости вектор-строку и вектор-столбец обычно называют просто векторами.
Особую роль играют матрицы, у которых число строк совпадает с числом столбцов, то есть матрицы размера n×n. Такие матрицы называются квадратными (см. рис.4).

Рис.4.
При ссылке на квадратную матрицу достаточно указать ее порядок. Например, матрица третьего порядка имеет размер 3x3 (см. рис.5)

Рис.5.
Главная и побочная диагонали квадратной матрицы (рис.6).

Рис.6.
Примеры диагональных матриц второго и третьего порядков (рис.7)

Если у диагональной матрицы n – го порядка E все диагональные элементы = 1, то такая матрица называется единичной матрицей n – го порядка.
Если все недиагональные элементы квадратной матрицы = 0, то такая матрица называется диагональной.
Единичную матрицу обозначают буквой E или I (рис.8).

Рис.8.
Понятие нулевой или нуль – матрицы

Рис.9.
1.1.Равенство матрицМатрицы A = || aij || и B = || aij || считаются равными, если они имеют одинаковые размеры и их соответствующие матричные элементы попарно равны:

для любых допустимых значений индексов i и j.
1.2. Умножение матрицы на числоУмножать на число можно матрицу любого размера. При умножении матрицы A на число λ каждый ее матричный элемент умножается на это число (для любых допустимых значений индексов i и j).:

В результате получим новую матрицу В.
Нахождение новой матрицы путем умножения на число:

В результате получим матрицу 3A.

Вынесение общего можителя за знак матрицы.
1.3.Сложение матрицОперация сложения определена только для матриц одинаковых размеров. Результатом сложения матриц A = || aij || и B = || bij || является матрица C = || cij ||, элементы которой равны сумме соответствующих матричных элементов:

Результат сложения двух матриц.
Складывать (и вычитать) можно матрицы только одного размера!

Результат сложения двух матриц с учетом правила
A + 0 = A.
1.4.Вычитание матриц
Формула вычитания двух матриц иллюстрируется примерами 2.4 и 2.5.

1.5.Умножение строки на столбец
Пусть А = – матрица-строка размера 1×n, и пусть В – матрица-столбец размера n×1. (Иначе говоря, пусть число элементов в строке матрицы A совпадает с числом элементов в столбце матрицы B.)
Тогда произведением AB называется число, равное сумме попарных произведений соответствующих матричных элементов:

Формула является правилом умножения строки на столбец.
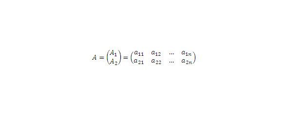
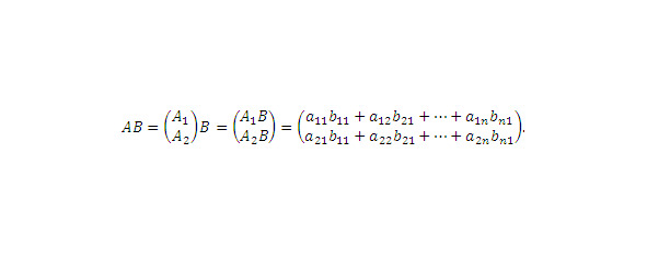
Если матрица A содержит m строк, а матрица B – n столбцов, то произведение AB представляет собой m×n матрицу, i,j-ый элемент которой вычисляется по правилу умножения i-ой строки матрицы A на j-ый столбец матрицы B. Например, при умножении двухстроковой матрицы:

на матрицу-столбец B (см.рис.3) каждая из строк (A1 и A2) матрицы A поочередно умножается на столбец B.
Результатом произведения AB является матрица размера 2×1

Результат произведения AB.
1.6. Умножение матрицПеремножать матрицы можно только, если число столбцов первой матрицы равно числу строк второй!
Пусть – m×l матрица и пусть – l×n матрица.

Матрица A.

Матрица B.
Конец ознакомительного фрагмента.
Текст предоставлен ООО «Литрес».
Прочитайте эту книгу целиком, купив полную легальную версию на Литрес.
Безопасно оплатить книгу можно банковской картой Visa, MasterCard, Maestro, со счета мобильного телефона, с платежного терминала, в салоне МТС или Связной, через PayPal, WebMoney, Яндекс.Деньги, QIWI Кошелек, бонусными картами или другим удобным Вам способом.
Вы ознакомились с фрагментом книги.
Для бесплатного чтения открыта только часть текста.
Приобретайте полный текст книги у нашего партнера:
Полная версия книги
Всего 10 форматов



