
Полная версия:
Физика Самой Средней Школы

Андрей Швец
Физика Самой Средней Школы
1 Принцип относительности и равномерное движение
Я знаю много странных миров, но ваш – самый странный из них. В нем покой и равномерное прямолинейное движение – одно и то же. И первым, как принято считать, сформулировал этот принцип Галилео Галилей.

Конечно, к подобному умозаключению приходили и многие другие люди, но истории нужно только одно имя, так уж она устроена. И если простыми словами описать принцип относительности Галилея, то он гласит, что если вы находитесь в закрытом помещении, то не сможете установить: движетесь ли вы равномерно и прямолинейно или покоитесь. Все процессы будут протекать совершенно одинаково. Так, находясь в салоне плавно катящейся кареты, или прямолинейно летящего самолета, вы можете ходить, пить чай и заниматься другими делами, совершенно так же, как если бы карета или самолет стояли неподвижно.
Мы привыкли к такому положению дел, но вот жители мира Г7689 привыкли к другому. Там в зависимости от скорости меняются физические константы, что приводит, в частности к тому, что в движущимся транспорте их тела разбухают и заполняют все пространство салона. Поэтому они всегда могут по объему своей талии сказать, покоятся или движутся.

Кстати, относительно чего покоится стоящий на аэродроме самолет? Очевидно, что относительно Земли. Но сама Земля движется относительно Солнца. Солнце движется относительно других звезд нашей галактики Млечный путь. Да, и сама галактика движется относительно других галактик. И когда вы говорите о движении или покое – нужно указывать относительно чего именно. И особенно проблематично установить покой тела, ведь оно должно покоиться относительно чего-то абсолютно покоящегося. Но кто докажет, что это абсолютно покоящееся тело – действительно таково?
В мире Г7689 совершенно неподвижной является их планета. Но доказать это невозможно. Вам может показаться странным, считать за абсолютную истину то, чего нельзя доказать. Но именно так и бывает с абсолютными истинами. Поскольку талия у жителей этого мира минимальна, когда они покоятся относительно своей планеты, то им проще считать ее неподвижной. Они, по крайней мере, могут руководствоваться принципом простоты. А вот вам с вашим относительным миром этого не дано. И талия – плохой подсказчик. Если она когда и увеличивается, то обычно после праздников.
И раз мы говорим о движении, то следует различать путь и перемещение. Если вы, например, сделали 100 шагов по круговой траектории и остановились на два шага северней от точки начала движения, то путь равен 100 шагам, а перемещение – вектору величиной в два шага, направленному на север. Путь – скалярная величина, а перемещение – векторная. Векторная величина имеет направление и может быть разных знаков, если вектора направлены в противоположные стороны. Поэтому при сложении равных по модулю, но противоположных по направлению векторов, они превращаются в ноль.

По этому поводу есть старая физическая шутка. Хорошо или плохо, если черный кот перебежит вам дорогу дважды – туда и обратно? Плохо, если кот скалярный, и хорошо если векторный, гласит ответ.

Итак, формула скорости тела при равномерном движении вам хорошо знакома, это путь деленный на время. По сути, скорость – тот же путь, но за какую-то фиксированную единицу времени.
А вот в мире Ф4534 путь и время – одно и тоже, потому что существа, его населяющие, всегда движутся и движутся с постоянной скоростью. Поэтому когда спрашиваешь у них время, то они вполне могут ответить, не останавливаясь при этом: пять километров после полудня. А сутки у них равны 24 километрам.

В вашем мире если вы стреляете из пистолета, то скорость пули будет одинакова относительно вас. Вне зависимости от того, стоите ли вы на месте или едете на машине. А вот скорость пули относительно Земли будет разной. Если вы едете на машине и стреляете вперед, то скорость пули относительно вас и скорость автомобиля будут складываться для наблюдателя на обочине. По этой же причине метатель копья сначала разгоняется сам, чтобы увеличить скорость копья относительно Земли.
Однако, у вашего мира есть удивительное свойство. Скорость света не зависит не только от скорости источника, но и от скорости тела, относительно которого она измеряется. В свое время, этого постулата о постоянстве скорости света хватило Альберту Эйнштейну, чтобы создать свою специальную теорию относительности (СТО).
Представьте, что мимо вас по дороге проехал волшебный автомобиль со скоростью 200 км/ч. Вы садитесь в свою машину и пытаетесь его догнать, но как бы вы не разгонялись, волшебный автомобиль удаляется от вас с той же скоростью. Чего же тут удивительного скажете вы, просто и он ускоряется. Видите, как вы мало знаете о волшебных автомобилях! На самом деле для пешехода, стоящего на обочине скорость волшебной машины остается неизменной, а относительная скорость между ним и вашим преследующим автомобилем уменьшается. Как же вы, находясь в этой преследующей машине, можете этого не замечать? Очень просто – ваши часы и все ваше время замедляется, и ровно настолько, чтобы по вашим приборам, скорость удаления от вас волшебного автомобиля не изменялась.

Это один из самых любопытных выводов специальной теории относительности: с увеличением скорости замедляется время. Но это не точное определение. Подумайте почему?
А что произойдет, если скорость вашей машины сравняется со скоростью волшебного автомобиля? Время остановится. Но как будет воспринимать окружающее человек в ней? Это не такой простой вопрос. Ученик Самой Средней Школы нашел на него ответ, а вы знаете, что у нас тот, кто понял суть какого-то явления, может им управлять. Правда, только до тех пор, пока он один это осознает.

Ученик смог перемещаться в пространстве быстрее скорости звука, пока не поделился этим открытием с бабушкой, и эта его способность сразу исчезла. Хорошо, что бабушка страдала провалами в памяти и много спала, поэтому когда она забывала об объяснениях внука или засыпала – его сверхспособность возвращалась.
Напишите о явлении, суть которого вы бы хотели постичь, чтобы управлять им. И как бы вы воспользовались своей суперспособностью? Возможно, это как-то связано с замедлением времени, или с тем, что скорость света всегда и для всех остается постоянной, и ее нельзя превысить.
_______________________________________________________
_______________________________________________________
_______________________________________________________
_______________________________________________________
_______________________________________________________
_______________________________________________________
_______________________________________________________
_______________________________________________________
_______________________________________________________
_______________________________________________________
______________________________________________________
2 Равноускоренное движение
Наиболее изучаемым движением в физике является равноускоренное движение. И мы поймем почему так происходит, когда будем обсуждать различные силы, если вы, конечно, не бросите чтение до этого. Это такое движение, скорость которого увеличивается на одинаковую величину в единицу времени. Изменение скорости за одну секунду и является величиной ускорения. Кстати, как вы думаете, является ли равноускоренным движение по окружности с постоянной скоростью? Вопрос не так прост, как может показаться на первый взгляд.
Но вернемся к прямолинейному движению вдоль оси, которую назовем х. На графике зависимости координаты х от времени равномерное движение выглядит как наклонная прямая линия, а ускоренное – как кривая.

Привыкайте сразу к тому, что графики движения не похожи на траекторию этого движения. Например, данное движение вдоль оси х – прямолинейно, а на графиках – какие-то горки. Хотя, в мире Н78987 этому бы совсем не удивились. Там изображения никогда не бывают похожими на оригинал, но самое удивительное – жители все равно понимают, что или кто на них изображен. И, кстати, некоторые пришельцы из этого мира сделали у нас неплохую карьеру в мире искусства.

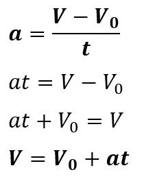
Формула ускорения – разность скоростей, деленная на время и измеряется она в м/с2. Из этого выражения легко получить формулу конечной скорости:

Конечная скорость равна начальной плюс ускорение умноженное на время, то есть плюс “прирост скорости”. Часто она записывается как функция скорости от времени:

А вот на графике зависимости скорости от времени равномерное движение – горизонтальная линия, а движение с постоянным ускорением – наклонная прямая.

Если тело движется равномерно, то путь равен скорости умноженной на время. И если посмотрим на рисунок, то это произведение равно площади под графиком. А как быть если движение сложное? Его всегда можно разбить на маленькие участки с постоянной скоростью, на множество прямоугольников, ширина которых стремится к нулю. И это позволяет говорить о том, что на графике с такими осями, путь всегда равен площади под ним.
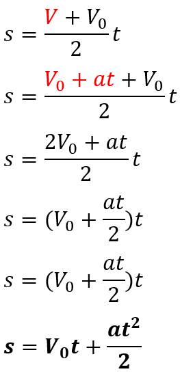
Теперь проверим вашу интуицию. Если тело движется со скоростью 20 м/с в течение 5 секунд, то путь будет равен 100 м. А если скорость равномерно меняется от 15 до 25 м/с то чему равен путь? Если вы скажете, что тоже 100 м – интуиция вас не подвела. Можно сказать, что при равноускоренном движении перемещение равно произведению средней скорости на время по формуле:

Если вы изучали геометрию то это выражение напомнит вам формулу площади трапеции. А ведь фигура под наклонной линией графика – и есть трапеция, положенная, так сказать, на бок.
Сочетая формулу ускорения и данную формулу, вы сможете получить другую формулу для перемещения. Заменим конечную скорость:

Получили уравнение для пути без конечной скорости. Из нее легко получить зависимость координаты при прямолинейном движении вдоль оси х от времени, добавив начальную координату x0:

Решим с помощью этого выражения задачу о подбрасывании камня. Пусть с балкона высотой в 45 м подбрасывают камень вверх со скоростью 40 м/с. Через сколько секунд он упадет на землю под балконом?

Начальная координата равна 45 м, конечная – 0 м, начальная скорость – 40 м/с, а ускорение – -10 м/с2 . Более точно – ускорение свободного падения равна 9,8 м/с2, , но при решении задач нам разрешают брать приближенное значение. И самое главное, поскольку наша ось х, вдоль которой происходит движение, направлена вверх, то ускорение свободного падения будет отрицательным, потому что всегда направлено вниз. И если у вас есть личный опыт падения, то вы с этим согласитесь.
Подставим значения в формулу:

Если решить уравнение, то получим или 9, или -1 с . Вы, конечно, сразу отбросите отрицательное значение. Но почему? Да, камень упадет на землю, через 9 секунд, но я бы еще подумала и над отрицательным значением. Что это означает? Вы, люди, слишком часто отбрасываете не очевидное для вас решение. Обратите внимание не то, что мы не разбивали движение на полет вверх и вниз. Данное квадратичное выражение описывает сразу оба этих движения, если можно так сказать.
Теперь бросим с того же балкона камень под углом в 30 градусов к горизонту со скоростью 80 м/с. И определим на каком расстоянии от здания он упадет. Здесь мы применим разложение движения на независимые направления, взаимно перпендикулярные.

Начальных знаний по геометрии будет достаточно, чтобы определить: вертикальная составляющая равна 40 м/с , а горизонтальная – 69м/с . Теперь самое интересное. Вертикальная и горизонтальная жизни этого камня – отдельные истории. Определим сначала, через сколько времени он упадет на землю. А поскольку его вертикальная составляющая скорости равна 40 м/с, как в предыдущем примере, то и упадет он тоже через 9 секунд. А что же с горизонтальной историей камня? По горизонтали он движется с постоянной скоростью 69 м/с, поэтому за 9 с преодолеет расстояние в 621 м. Это и есть ответ. Подобное разделение на взаимно-независимые направления, чаще взаимно-перпендикулярные – очень важный метод решения задач по физике.
Девочка из Самой Средней Школы долго размышляла над числом измерений в нашем мире. А ведь каждое измерение – это своя отдельная история. Можно понять, почему мы говорим о нашем трехмерном пространстве. Потому что можно двигаться например, строго вверх, не смещаясь по другим осям:ни влево/вправо, ни вперед/назад. Три независимые пространственные оси – три пространственных измерения. Но можно не перемещаться ни по одной из них, двигаясь при этом во времени. Значит, время можно считать четвертым измерением. С другой стороны, рассуждала девочка, если есть еще измерения, то они могут не влиять на наши.

Когда девочка поняла, как это происходит, она научилась сама создавать и использовать новые измерения. Она научилась перемещаться по ним во сне и снова появляться в нашем пространстве. Как если бы исчезала в одном месте – и появлялась в другом. Однако была сложность – никто не должен был видеть, как она исчезает и как появляется. Поэтому, чтобы незаметно исчезнуть, ей приходилось засыпать в самых неожиданных местах, скрытых от посторонних глаз и появляться из таких же закрытых мест.
Напишите о явлении, суть которого вы бы хотели постичь, чтобы управлять им. И как бы вы воспользовались своей суперспособностью? Как бы вы, например, воспользовались способностью использовать дополнительные измерения?
_______________________________________________________
_______________________________________________________
_______________________________________________________
_______________________________________________________
_______________________________________________________
_______________________________________________________
_______________________________________________________
_______________________________________________________
_______________________________________________________
_______________________________________________________
______________________________________________________
3 Движение по окружности и колебания
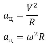
Вы, возможно, будете удивлены, но двигаясь с постоянной скоростью по окружности, тело будет двигаться ускоренно. Не нужно забывать, что линейная скорость – вектор, направленный по касательной к траектории движения.

И если вы продвинетесь чуть-чуть по окружности, то и вектор скорости немного повернется. Разность векторов тоже будет вектором, направленным к центру. Такое ускорение называют, по вполне понятным причинам, центростремительным. То есть скорость может изменяться не только по величине, но и по направлению.
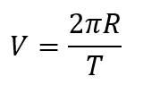
Время одного оборота – период вращения, а частота вращения – число оборотов в секунду. Но если длина окружности это 2ПR, а период Т – время одного оборота, то линейная скорость равна:

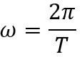
а угловая скорость измеряется в радианах в секунду и равна:

Центростремительное ускорение можно выразить и через линейную скорость, и через угловую:

В вашей физике есть не только вращение в понятном вам смысле, но и “как бы” вращение. Это спин элементарных частиц, который для наглядности, в первом так сказать, приближении описывают как вращение. Мы не раз будем сталкиваться с замечательной особенностью вашей науки – даже самые нелепые модели могут позволить вывести верные математические формулы. Представление об элементарных частицах, как о вращающихся шариках неверно, но позволяет составить подтвержденные экспериментально математические зависимости для ряда явлений. Но даже, если рассматривать спин, как вращение, одна странная особенность бросается в глаза. Маленькая и вездесущая частица нейтрино всегда вращается против часовой стрелки если смотреть ей “в спину”. Остальные частицы могут вращаться и по, и против часовой, но не нейтрино. Это нарушение симметрии и здесь что-то не так, подозревают ваши ученые.
И еще вопрос. Относительно ли круговое движение? В мире О77888 это так. Например, если вы вращаете там ведро, то вода образует воронку. Но если вращать мир вокруг ведра, то произойдет то же самое. Поэтому, если вокруг жителя этого мира бегают по кругу другие жители, то у него начинает кружится голова, как если бы он сам кружился. Впрочем, и у вас так.

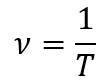
У кругового и колебательного движений много общего. Период колебания – время наименьшего повторяющегося “отрывка”. Тоже, своего рода, симметрия.
Частота измеряется в герцах (Гц), это число колебаний в секунду и она взаимообратная периоду:

Рассмотрим колебание тела вдоль оси x. Отклонение от среднего – это амплитуда (А). Время между двумя ближайшими одинаковыми состояниями, например, между вершинами – это период.

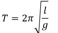
Привычный вам маятник – грузик на веревочке, называется математическим. Формула его периода:

Фактически, период такого маятника зависит только от длины веревочки (l), если не переносить его с планеты на планету с разными ускорениями свободного падения (g).

Для периода пружинного маятника формула следующая:

Как видите, период зависит от массы груза (m) и жесткости пружины (k). Любую механическую конструкцию можно представить как сочетание пружинных маятников, поэтому часто эти конструкции, например мосты, имеют определенную собственную частоту колебаний. А если она совпадает с частотой вынужденных колебаний, то возникнет такое разрушительное явление как резонанс. Амплитуда колебаний может увеличиться до критических значений. В истории известны случаи, когда из-за идущих в ногу солдат разрушались мосты.

Согласованные колебания множества элементов с некоторой задержкой по времени (сдвигом по фазе) порождает волну. И самый наглядный пример – волна болельщиков на стадионе. Каждый из них то встает, то опускается, оставаясь при этом на своем месте. Поэтому и говорят, что волна переносит не массу, а энергию. График волны выглядит так же как и график колебаний, но только ось абсцисс здесь не время, а пространственная ось, вдоль которой распространяется волна. И, соответственно, расстояние между точками в одинаковых состояниях (симметричных) – не период, а длина волны.

Скорость распространения волны равна произведению частоты на длину волны:


Если представить волну, распространяющуюся по поверхности водоема и четыре поплавка. То поплавки 2 и 4 находятся в одинаковой фазе, а 1 и 2 – в противофазе. То есть, когда 1 поплавок находится в самом низу, 2 – вверху. Легко догадаться, что если две одинаковые волны но находящиеся в противофазе наложить друг на друга, то они взаимоуничтожатся. Это еще одна особенность симметрии. Она может порождать, но может и уничтожать тоже.
Девочка из Самой Средней Школы рассуждала о возможности порождать миры из ничего. Она ставила на палец тарелку так, чтобы та не падала. Потом она представляла, что в центре из ничего появлялись пары симметричных человечиков, которые симметрично расходились от центра, не нарушая общего равновесия. Но человечики были, что называется, в противофазе и при встрече снова превращались в ничто. Пар становилось все больше, они кружились и танцевали под беззвучную музыку. А потом снова сходились в центре и исчезали. Девочка научилась создавать такие схлопывающиеся миры и играла с ними.

Но даже ее фантазии не хватило бы, чтобы создать нечто подобное миру Н76789, который состоит из множества тел, стоящих плечом к плечу, как в метро. Однако во всем этом мире есть только одно осознание, которое переходит от тела к телу, заставляя их по очереди подниматься, поэтому по планете, то в одну сторону, то в другую, пробегает волна, как на стадионе. При этом осознанию кажется, что оно перемещается и путешествует, хотя все тела остаются на своих местах. Этому осознанию очень одиноко.

Напишите о явлении, суть которого вы бы хотели постичь, чтобы управлять им. И как бы вы воспользовались своей суперспособностью? Может быть, вы бы хотите научиться создавать тела в противофазах, которые бы исчезали при соприкосновении? Но я не понимаю пока, как это может вам пригодиться в жизни.
_______________________________________________________
_______________________________________________________
_______________________________________________________
Конец ознакомительного фрагмента.
Текст предоставлен ООО «Литрес».
Прочитайте эту книгу целиком, купив полную легальную версию на Литрес.
Безопасно оплатить книгу можно банковской картой Visa, MasterCard, Maestro, со счета мобильного телефона, с платежного терминала, в салоне МТС или Связной, через PayPal, WebMoney, Яндекс.Деньги, QIWI Кошелек, бонусными картами или другим удобным Вам способом.
Вы ознакомились с фрагментом книги.
Для бесплатного чтения открыта только часть текста.
Приобретайте полный текст книги у нашего партнера:
Полная версия книги
Всего 10 форматов



